Last updated: 2021-06-17

Checks: 7 0

Knit directory: ebpmf_data_analysis/

This reproducible R Markdown analysis was created with workflowr (version 1.6.2). The Checks tab describes the reproducibility checks that were applied when the results were created. The Past versions tab lists the development history.


Great! Since the R Markdown file has been committed to the Git repository, you know the exact version of the code that produced these results.

Great job! The global environment was empty. Objects defined in the global environment can affect the analysis in your R Markdown file in unknown ways. For reproduciblity it’s best to always run the code in an empty environment.

The command set.seed(20200511) was run prior to running the code in the R Markdown file. Setting a seed ensures that any results that rely on randomness, e.g. subsampling or permutations, are reproducible.

Great job! Recording the operating system, R version, and package versions is critical for reproducibility.

Nice! There were no cached chunks for this analysis, so you can be confident that you successfully produced the results during this run.

Great job! Using relative paths to the files within your workflowr project makes it easier to run your code on other machines.

Great! You are using Git for version control. Tracking code development and connecting the code version to the results is critical for reproducibility.

The results in this page were generated with repository version 1e1f5ed. See the Past versions tab to see a history of the changes made to the R Markdown and HTML files.

Note that you need to be careful to ensure that all relevant files for the analysis have been committed to Git prior to generating the results (you can use wflow_publish or wflow_git_commit). workflowr only checks the R Markdown file, but you know if there are other scripts or data files that it depends on. Below is the status of the Git repository when the results were generated:


Ignored files:
    Ignored:    .DS_Store
    Ignored:    .Rhistory
    Ignored:    .Rproj.user/
    Ignored:    analysis/ebpmf_bg_tutorial_cache/
    Ignored:    analysis/ebpmf_wbg_model_intro_cache/
    Ignored:    analysis/ebpmf_wbg_simulate_big_data2_cache/
    Ignored:    analysis/ebpmf_wbg_simulate_big_data3_cache/
    Ignored:    analysis/ebpmf_wbg_simulate_big_data_cache/
    Ignored:    analysis/ebpmf_wbg_simulation_cache/
    Ignored:    analysis/investigate_np_ebpmf_wbg_cache/
    Ignored:    analysis/pmf_greedy_experiment_cache/
    Ignored:    analysis/sla_data_analysis_k10_cache/
    Ignored:    data/.DS_Store
    Ignored:    output/.DS_Store
    Ignored:    output/News/.DS_Store
    Ignored:    topicView-app/.DS_Store

Untracked files:
    Untracked:  analysis/draft.Rmd
    Untracked:  analysis/draft2.Rmd
    Untracked:  analysis/ebpmf_wbg_simulate_correlated.Rmd
    Untracked:  analysis/ebpmf_wbg_simulation_big.Rmd
    Untracked:  analysis/ebpmf_wbg_simulation_big2_more.Rmd
    Untracked:  analysis/heatmap.Rmd
    Untracked:  analysis/investigate_largeK.Rmd
    Untracked:  analysis/investigate_news_topics.Rmd
    Untracked:  analysis/poissonmix_vs_pmf.Rmd
    Untracked:  analysis/simulate_data_bg.Rmd
    Untracked:  analysis/simulate_data_bg2.Rmd
    Untracked:  analysis/summary_sla_news_nips.Rmd
    Untracked:  analysis/test.R
    Untracked:  data/cell_data.csv
    Untracked:  data/sim/init_random.sim_bg_block_n1100_p2100_K50.Rds
    Untracked:  data/sim/simulated_data_small.RData
    Untracked:  data/sim/simulated_data_small2.RData
    Untracked:  output/poissonmix_vs_pmf.RDS
    Untracked:  output/poissonmix_vs_pmf.RData
    Untracked:  output/sim/v0.4.5/exper2/init_random.sim_bg_block_n1100_p2100_K50.Rds
    Untracked:  output/sim/v0.4.5/exper2/sim_bg_block_n1100_p2100_K50_ebpmf_wbg_K50_maxiter100_init_random.Rds
    Untracked:  output/sim/v0.4.5/exper2/sim_bg_block_n1100_p2100_K50_ebpmf_wbg_K50_maxiter10_from_truth.Rds
    Untracked:  output/sim/v0.4.5/exper2/sim_bg_block_n1100_p2100_K50_ebpmf_wbg_K50_maxiter10_init_random.Rds
    Untracked:  output/sim/v0.4.5/exper2/sim_bg_block_n1100_p2100_K50_ebpmf_wbg_K50_maxiter10_init_random2.Rds
    Untracked:  output/sim/v0.4.5/exper2/sim_bg_block_n1100_p2100_K50_ebpmf_wbg_K50_maxiter10_pmf_bg_K50_maxiter10_from_truth_scaled.Rds
    Untracked:  output/sim/v0.4.5/exper2/sim_bg_block_n1100_p2100_K50_ebpmf_wbg_K50_maxiter10_pmf_bg_K50_maxiter10_from_truth_scaled0.Rds
    Untracked:  output/sim/v0.4.5/exper2/sim_bg_block_n1100_p2100_K50_ebpmf_wbg_K50_maxiter10_pmf_bg_K50_maxiter10_from_truth_scaled1.Rds
    Untracked:  output/sim/v0.4.5/exper2/sim_bg_block_n1100_p2100_K50_ebpmf_wbg_K50_maxiter1_from_truth.Rds
    Untracked:  output/sim/v0.4.5/exper2/sim_bg_block_n1100_p2100_K50_ebpmf_wbg_K50_maxiter20_init_random.Rds
    Untracked:  output/sim/v0.4.5/exper2/sim_bg_block_n1100_p2100_K50_ebpmf_wbg_K50_maxiter2_from_truth.Rds
    Untracked:  output/sim/v0.4.5/exper2/sim_bg_block_n1100_p2100_K50_ebpmf_wbg_K50_maxiter30_init_random.Rds
    Untracked:  output/sim/v0.4.5/exper2/sim_bg_block_n1100_p2100_K50_ebpmf_wbg_K50_maxiter3_from_truth.Rds
    Untracked:  output/sim/v0.4.5/exper2/sim_bg_block_n1100_p2100_K50_ebpmf_wbg_K50_maxiter40_init_random.Rds
    Untracked:  output/sim/v0.4.5/exper2/sim_bg_block_n1100_p2100_K50_ebpmf_wbg_K50_maxiter4_from_truth.Rds
    Untracked:  output/sim/v0.4.5/exper2/sim_bg_block_n1100_p2100_K50_ebpmf_wbg_K50_maxiter50_init_random.Rds
    Untracked:  output/sim/v0.4.5/exper2/sim_bg_block_n1100_p2100_K50_ebpmf_wbg_K50_maxiter5_from_truth.Rds
    Untracked:  output/sim/v0.4.5/exper2/sim_bg_block_n1100_p2100_K50_ebpmf_wbg_K50_maxiter5_pmf_bg_K50_maxiter10_from_truth_scaled.Rds
    Untracked:  output/sim/v0.4.5/exper2/sim_bg_block_n1100_p2100_K50_ebpmf_wbg_K50_maxiter5_pmf_bg_K50_maxiter10_from_truth_scaled0.Rds
    Untracked:  output/sim/v0.4.5/exper2/sim_bg_block_n1100_p2100_K50_ebpmf_wbg_K50_maxiter5_pmf_bg_K50_maxiter10_from_truth_scaled1.Rds
    Untracked:  output/sim/v0.4.5/exper2/sim_bg_block_n1100_p2100_K50_ebpmf_wbg_K50_maxiter60_init_random.Rds
    Untracked:  output/sim/v0.4.5/exper2/sim_bg_block_n1100_p2100_K50_ebpmf_wbg_K50_maxiter6_from_truth.Rds
    Untracked:  output/sim/v0.4.5/exper2/sim_bg_block_n1100_p2100_K50_ebpmf_wbg_K50_maxiter70_init_random.Rds
    Untracked:  output/sim/v0.4.5/exper2/sim_bg_block_n1100_p2100_K50_ebpmf_wbg_K50_maxiter7_from_truth.Rds
    Untracked:  output/sim/v0.4.5/exper2/sim_bg_block_n1100_p2100_K50_ebpmf_wbg_K50_maxiter80_init_random.Rds
    Untracked:  output/sim/v0.4.5/exper2/sim_bg_block_n1100_p2100_K50_ebpmf_wbg_K50_maxiter8_from_truth.Rds
    Untracked:  output/sim/v0.4.5/exper2/sim_bg_block_n1100_p2100_K50_ebpmf_wbg_K50_maxiter90_init_random.Rds
    Untracked:  output/sim/v0.4.5/exper2/sim_bg_block_n1100_p2100_K50_ebpmf_wbg_K50_maxiter9_from_truth.Rds
    Untracked:  output/sim/v0.4.5/exper2/sim_bg_block_n1100_p2100_K50_fastTopics_K50_50em_950_scd.Rds
    Untracked:  output/smallsim2_1.RData
    Untracked:  script/Rplots.pdf
    Untracked:  script/init_ebpmf_wbg_from_pmf_bg.R
    Untracked:  script/init_ebpmf_wbg_random.R
    Untracked:  script/save_volcano_plot.R
    Untracked:  topicView-app/app_utils.R
    Untracked:  topicView-app/data/
    Untracked:  topicView-app/output/
    Untracked:  topicView-app/rsconnect/

Unstaged changes:
    Modified:   analysis/cone_NMF_l2_2.Rmd
    Modified:   analysis/ebpmf_wbg_simulate_big_data2.Rmd
    Modified:   analysis/multinom_sampling.Rmd
    Deleted:    analysis/sla_data_analysis_k10.Rmd
    Deleted:    analysis/sla_data_analysis_k5.Rmd
    Deleted:    analysis/sla_data_analysis_k50.Rmd
    Deleted:    data/SLA/SCC2016/Code/APL/compCM.m
    Deleted:    data/SLA/SCC2016/Code/APL/compMuI.m
    Deleted:    data/SLA/SCC2016/Code/APL/compParamErr2.m
    Deleted:    data/SLA/SCC2016/Code/APL/cpl4c.m
    Deleted:    data/SLA/SCC2016/Code/APL/cplEstimParam.m
    Deleted:    data/SLA/SCC2016/Code/APL/cpl_basic_demo_PJ.m
    Deleted:    data/SLA/SCC2016/Code/APL/cpl_demo.m
    Deleted:    data/SLA/SCC2016/Code/APL/cpl_demo2a.m
    Deleted:    data/SLA/SCC2016/Code/APL/dcBlkMod.m
    Deleted:    data/SLA/SCC2016/Code/APL/dcBlkMod2.m
    Deleted:    data/SLA/SCC2016/Code/APL/dcBlkMod3.m
    Deleted:    data/SLA/SCC2016/Code/APL/dcbm_nmi_beta_D.m
    Deleted:    data/SLA/SCC2016/Code/APL/dcbm_nmi_lambda_D.m
    Deleted:    data/SLA/SCC2016/Code/APL/dcbm_time_vs_n_D.m
    Deleted:    data/SLA/SCC2016/Code/APL/genDCBlkMod.c
    Deleted:    data/SLA/SCC2016/Code/APL/genDCBlkMod.mexa64
    Deleted:    data/SLA/SCC2016/Code/APL/genDCBlkMod2.m
    Deleted:    data/SLA/SCC2016/Code/APL/initLabel5b.m
    Deleted:    data/SLA/SCC2016/Code/BCPL/ProfileLike.m
    Deleted:    data/SLA/SCC2016/Code/BCPL/calCri1.m
    Deleted:    data/SLA/SCC2016/Code/BCPL/calCri2.m
    Deleted:    data/SLA/SCC2016/Code/BCPL/mutiExp.m
    Deleted:    data/SLA/SCC2016/Code/MatlabCode.m
    Deleted:    data/SLA/SCC2016/Code/NewmanSM/NewmanSM.m
    Deleted:    data/SLA/SCC2016/Code/coauthorThresh2GiantAdj.txt
    Deleted:    data/SLA/SCC2016/Code/coauthorThresh2GiantCommLabelK2Matlab.txt
    Deleted:    data/SLA/SCC2016/Code/functions.R
    Deleted:    data/SLA/SCC2016/Code/main.R
    Deleted:    data/SLA/SCC2016/Data/authorList.txt
    Deleted:    data/SLA/SCC2016/Data/authorPaperBiadj.txt
    Deleted:    data/SLA/SCC2016/Data/paperCitAdj.txt
    Deleted:    data/SLA/SCC2016/Data/paperList.txt
    Deleted:    data/SLA/SCC2016/ReadMe.txt
    Modified:   data/sim/docword.sim_bg_block_n1100_p2100_K50.txt
    Deleted:    data/sim/init.sim_bg_block_n1100_p2100_K50.Rds
    Modified:   data/sim/truth.sim_bg_block_n1100_p2100_K50.Rds
    Deleted:    data/uci_BoW.sh
    Deleted:    data/uci_BoW/docword.kos.txt
    Deleted:    data/uci_BoW/readme.txt
    Deleted:    data/uci_BoW/vocab.kos.txt
    Deleted:    output/sim/v0.4.5/fit_sim_bg_block_n1100_p2100_K50_ebpmf_wbg_maxiter_5000.Rout
    Deleted:    output/sim/v0.4.5/fit_sim_bg_block_n1100_p2100_K50_ebpmf_wbg_maxiter_5000_from_truth.Rout
    Deleted:    output/sim/v0.4.5/sim_bg_block_n1100_p2100_K50_ebpmf_wbg_K50_maxiter3.Rds
    Deleted:    output/sim/v0.4.5/sim_bg_block_n1100_p2100_K50_ebpmf_wbg_K50_maxiter5000.Rds
    Deleted:    output/sim/v0.4.5/sim_bg_block_n1100_p2100_K50_ebpmf_wbg_K50_maxiter5000_from_truth.Rds
    Deleted:    output/sim/v0.4.5/sim_bg_block_n1100_p2100_K50_ebpmf_wbg_K50_maxiter50_from_truth2.Rds
    Deleted:    output/uci_BoW/v0.3.8/fit_kos_ebpmf_bg_K20_maxiter_1000.Rout
    Deleted:    output/uci_BoW/v0.3.8/fit_kos_ebpmf_bg_K20_maxiter_500.Rout
    Deleted:    output/uci_BoW/v0.3.8/fit_kos_ebpmf_bg_K20_maxiter_5000.Rout
    Deleted:    output/uci_BoW/v0.3.8/kos_ebpmf_bg_K20_maxiter1000.Rds
    Deleted:    output/uci_BoW/v0.3.8/kos_ebpmf_bg_K20_maxiter500.Rds
    Deleted:    output/uci_BoW/v0.3.8/kos_ebpmf_bg_K20_maxiter5000.Rds
    Deleted:    output/uci_BoW/v0.3.8/kos_ebpmf_bg_K2_maxiter10.Rds
    Deleted:    output/uci_BoW/v0.3.9/fit_kos_ebpmf_bg_K100_maxiter_5000.Rout
    Deleted:    output/uci_BoW/v0.3.9/fit_kos_ebpmf_bg_K20_maxiter_5000.Rout
    Deleted:    output/uci_BoW/v0.3.9/fit_kos_ebpmf_bg_K50_maxiter_5000.Rout
    Deleted:    output/uci_BoW/v0.3.9/fit_kos_ebpmf_bg_initLF_K100_maxiter_5000.Rout
    Deleted:    output/uci_BoW/v0.3.9/fit_kos_ebpmf_bg_initLF_K20_maxiter_5000.Rout
    Deleted:    output/uci_BoW/v0.3.9/fit_kos_ebpmf_bg_initLF_K300_maxiter_1000.Rout
    Deleted:    output/uci_BoW/v0.3.9/fit_kos_ebpmf_bg_initLF_K500_maxiter_1000.Rout
    Deleted:    output/uci_BoW/v0.3.9/fit_kos_ebpmf_bg_initLF_K50_maxiter_5000.Rout
    Deleted:    output/uci_BoW/v0.3.9/fit_kos_pmf_initLF_K100_maxiter_5000.Rout
    Deleted:    output/uci_BoW/v0.3.9/fit_kos_pmf_initLF_K20_maxiter_5000.Rout
    Deleted:    output/uci_BoW/v0.3.9/fit_kos_pmf_initLF_K300_maxiter_1000.Rout
    Deleted:    output/uci_BoW/v0.3.9/fit_kos_pmf_initLF_K500_maxiter_5000.Rout
    Deleted:    output/uci_BoW/v0.3.9/fit_kos_pmf_initLF_K50_maxiter_5000.Rout
    Deleted:    output/uci_BoW/v0.3.9/kos_ebpmf_bg_K100_maxiter1000.Rds
    Deleted:    output/uci_BoW/v0.3.9/kos_ebpmf_bg_K100_maxiter1500.Rds
    Deleted:    output/uci_BoW/v0.3.9/kos_ebpmf_bg_K100_maxiter2000.Rds
    Deleted:    output/uci_BoW/v0.3.9/kos_ebpmf_bg_K100_maxiter500.Rds
    Deleted:    output/uci_BoW/v0.3.9/kos_ebpmf_bg_K20_maxiter1000.Rds
    Deleted:    output/uci_BoW/v0.3.9/kos_ebpmf_bg_K20_maxiter1500.Rds
    Deleted:    output/uci_BoW/v0.3.9/kos_ebpmf_bg_K20_maxiter2000.Rds
    Deleted:    output/uci_BoW/v0.3.9/kos_ebpmf_bg_K20_maxiter2500.Rds
    Deleted:    output/uci_BoW/v0.3.9/kos_ebpmf_bg_K20_maxiter3000.Rds
    Deleted:    output/uci_BoW/v0.3.9/kos_ebpmf_bg_K20_maxiter3500.Rds
    Deleted:    output/uci_BoW/v0.3.9/kos_ebpmf_bg_K20_maxiter4000.Rds
    Deleted:    output/uci_BoW/v0.3.9/kos_ebpmf_bg_K20_maxiter4500.Rds
    Deleted:    output/uci_BoW/v0.3.9/kos_ebpmf_bg_K20_maxiter500.Rds
    Deleted:    output/uci_BoW/v0.3.9/kos_ebpmf_bg_K20_maxiter5000.Rds
    Deleted:    output/uci_BoW/v0.3.9/kos_ebpmf_bg_K50_maxiter1000.Rds
    Deleted:    output/uci_BoW/v0.3.9/kos_ebpmf_bg_K50_maxiter1500.Rds
    Deleted:    output/uci_BoW/v0.3.9/kos_ebpmf_bg_K50_maxiter2000.Rds
    Deleted:    output/uci_BoW/v0.3.9/kos_ebpmf_bg_K50_maxiter2500.Rds
    Deleted:    output/uci_BoW/v0.3.9/kos_ebpmf_bg_K50_maxiter3000.Rds
    Deleted:    output/uci_BoW/v0.3.9/kos_ebpmf_bg_K50_maxiter3500.Rds
    Deleted:    output/uci_BoW/v0.3.9/kos_ebpmf_bg_K50_maxiter4000.Rds
    Deleted:    output/uci_BoW/v0.3.9/kos_ebpmf_bg_K50_maxiter4500.Rds
    Deleted:    output/uci_BoW/v0.3.9/kos_ebpmf_bg_K50_maxiter500.Rds
    Deleted:    output/uci_BoW/v0.3.9/kos_ebpmf_bg_initLF50_K100_maxiter1000.Rds
    Deleted:    output/uci_BoW/v0.3.9/kos_ebpmf_bg_initLF50_K100_maxiter1500.Rds
    Deleted:    output/uci_BoW/v0.3.9/kos_ebpmf_bg_initLF50_K100_maxiter2000.Rds
    Deleted:    output/uci_BoW/v0.3.9/kos_ebpmf_bg_initLF50_K100_maxiter2500.Rds
    Deleted:    output/uci_BoW/v0.3.9/kos_ebpmf_bg_initLF50_K100_maxiter500.Rds
    Deleted:    output/uci_BoW/v0.3.9/kos_ebpmf_bg_initLF50_K20_maxiter10.Rds
    Deleted:    output/uci_BoW/v0.3.9/kos_ebpmf_bg_initLF50_K20_maxiter1000.Rds
    Deleted:    output/uci_BoW/v0.3.9/kos_ebpmf_bg_initLF50_K20_maxiter1500.Rds
    Deleted:    output/uci_BoW/v0.3.9/kos_ebpmf_bg_initLF50_K20_maxiter2000.Rds
    Deleted:    output/uci_BoW/v0.3.9/kos_ebpmf_bg_initLF50_K20_maxiter2500.Rds
    Deleted:    output/uci_BoW/v0.3.9/kos_ebpmf_bg_initLF50_K20_maxiter3000.Rds
    Deleted:    output/uci_BoW/v0.3.9/kos_ebpmf_bg_initLF50_K20_maxiter3500.Rds
    Deleted:    output/uci_BoW/v0.3.9/kos_ebpmf_bg_initLF50_K20_maxiter4000.Rds
    Deleted:    output/uci_BoW/v0.3.9/kos_ebpmf_bg_initLF50_K20_maxiter4500.Rds
    Deleted:    output/uci_BoW/v0.3.9/kos_ebpmf_bg_initLF50_K20_maxiter5.Rds
    Deleted:    output/uci_BoW/v0.3.9/kos_ebpmf_bg_initLF50_K20_maxiter500.Rds
    Deleted:    output/uci_BoW/v0.3.9/kos_ebpmf_bg_initLF50_K20_maxiter5000.Rds
    Deleted:    output/uci_BoW/v0.3.9/kos_ebpmf_bg_initLF50_K300_maxiter100.Rds
    Deleted:    output/uci_BoW/v0.3.9/kos_ebpmf_bg_initLF50_K300_maxiter1000.Rds
    Deleted:    output/uci_BoW/v0.3.9/kos_ebpmf_bg_initLF50_K300_maxiter200.Rds
    Deleted:    output/uci_BoW/v0.3.9/kos_ebpmf_bg_initLF50_K300_maxiter300.Rds
    Deleted:    output/uci_BoW/v0.3.9/kos_ebpmf_bg_initLF50_K300_maxiter400.Rds
    Deleted:    output/uci_BoW/v0.3.9/kos_ebpmf_bg_initLF50_K300_maxiter500.Rds
    Deleted:    output/uci_BoW/v0.3.9/kos_ebpmf_bg_initLF50_K300_maxiter600.Rds
    Deleted:    output/uci_BoW/v0.3.9/kos_ebpmf_bg_initLF50_K300_maxiter700.Rds
    Deleted:    output/uci_BoW/v0.3.9/kos_ebpmf_bg_initLF50_K300_maxiter800.Rds
    Deleted:    output/uci_BoW/v0.3.9/kos_ebpmf_bg_initLF50_K300_maxiter900.Rds
    Deleted:    output/uci_BoW/v0.3.9/kos_ebpmf_bg_initLF50_K50_maxiter1000.Rds
    Deleted:    output/uci_BoW/v0.3.9/kos_ebpmf_bg_initLF50_K50_maxiter1500.Rds
    Deleted:    output/uci_BoW/v0.3.9/kos_ebpmf_bg_initLF50_K50_maxiter2000.Rds
    Deleted:    output/uci_BoW/v0.3.9/kos_ebpmf_bg_initLF50_K50_maxiter2500.Rds
    Deleted:    output/uci_BoW/v0.3.9/kos_ebpmf_bg_initLF50_K50_maxiter3000.Rds
    Deleted:    output/uci_BoW/v0.3.9/kos_ebpmf_bg_initLF50_K50_maxiter3500.Rds
    Deleted:    output/uci_BoW/v0.3.9/kos_ebpmf_bg_initLF50_K50_maxiter4000.Rds
    Deleted:    output/uci_BoW/v0.3.9/kos_ebpmf_bg_initLF50_K50_maxiter4500.Rds
    Deleted:    output/uci_BoW/v0.3.9/kos_ebpmf_bg_initLF50_K50_maxiter500.Rds
    Deleted:    output/uci_BoW/v0.3.9/kos_ebpmf_bg_initLF50_K50_maxiter5000.Rds
    Deleted:    output/uci_BoW/v0.3.9/kos_init_nmf_K100_iter50.Rds
    Deleted:    output/uci_BoW/v0.3.9/kos_init_nmf_K20_iter50.Rds
    Deleted:    output/uci_BoW/v0.3.9/kos_init_nmf_K300_iter50.Rds
    Deleted:    output/uci_BoW/v0.3.9/kos_init_nmf_K500_iter50.Rds
    Deleted:    output/uci_BoW/v0.3.9/kos_init_nmf_K50_iter50.Rds
    Deleted:    output/uci_BoW/v0.3.9/kos_pmf_initLF50_K100_maxiter1000.Rds
    Deleted:    output/uci_BoW/v0.3.9/kos_pmf_initLF50_K100_maxiter1500.Rds
    Deleted:    output/uci_BoW/v0.3.9/kos_pmf_initLF50_K100_maxiter2000.Rds
    Deleted:    output/uci_BoW/v0.3.9/kos_pmf_initLF50_K100_maxiter2500.Rds
    Deleted:    output/uci_BoW/v0.3.9/kos_pmf_initLF50_K100_maxiter3000.Rds
    Deleted:    output/uci_BoW/v0.3.9/kos_pmf_initLF50_K100_maxiter3500.Rds
    Deleted:    output/uci_BoW/v0.3.9/kos_pmf_initLF50_K100_maxiter4000.Rds
    Deleted:    output/uci_BoW/v0.3.9/kos_pmf_initLF50_K100_maxiter4500.Rds
    Deleted:    output/uci_BoW/v0.3.9/kos_pmf_initLF50_K100_maxiter500.Rds
    Deleted:    output/uci_BoW/v0.3.9/kos_pmf_initLF50_K100_maxiter5000.Rds
    Deleted:    output/uci_BoW/v0.3.9/kos_pmf_initLF50_K20_maxiter10.Rds
    Deleted:    output/uci_BoW/v0.3.9/kos_pmf_initLF50_K20_maxiter1000.Rds
    Deleted:    output/uci_BoW/v0.3.9/kos_pmf_initLF50_K20_maxiter1500.Rds
    Deleted:    output/uci_BoW/v0.3.9/kos_pmf_initLF50_K20_maxiter2000.Rds
    Deleted:    output/uci_BoW/v0.3.9/kos_pmf_initLF50_K20_maxiter2500.Rds
    Deleted:    output/uci_BoW/v0.3.9/kos_pmf_initLF50_K20_maxiter3000.Rds
    Deleted:    output/uci_BoW/v0.3.9/kos_pmf_initLF50_K20_maxiter3500.Rds
    Deleted:    output/uci_BoW/v0.3.9/kos_pmf_initLF50_K20_maxiter4000.Rds
    Deleted:    output/uci_BoW/v0.3.9/kos_pmf_initLF50_K20_maxiter4500.Rds
    Deleted:    output/uci_BoW/v0.3.9/kos_pmf_initLF50_K20_maxiter5.Rds
    Deleted:    output/uci_BoW/v0.3.9/kos_pmf_initLF50_K20_maxiter500.Rds
    Deleted:    output/uci_BoW/v0.3.9/kos_pmf_initLF50_K20_maxiter5000.Rds
    Deleted:    output/uci_BoW/v0.3.9/kos_pmf_initLF50_K300_maxiter100.Rds
    Deleted:    output/uci_BoW/v0.3.9/kos_pmf_initLF50_K300_maxiter1000.Rds
    Deleted:    output/uci_BoW/v0.3.9/kos_pmf_initLF50_K300_maxiter200.Rds
    Deleted:    output/uci_BoW/v0.3.9/kos_pmf_initLF50_K300_maxiter300.Rds
    Deleted:    output/uci_BoW/v0.3.9/kos_pmf_initLF50_K300_maxiter400.Rds
    Deleted:    output/uci_BoW/v0.3.9/kos_pmf_initLF50_K300_maxiter500.Rds
    Deleted:    output/uci_BoW/v0.3.9/kos_pmf_initLF50_K300_maxiter600.Rds
    Deleted:    output/uci_BoW/v0.3.9/kos_pmf_initLF50_K300_maxiter700.Rds
    Deleted:    output/uci_BoW/v0.3.9/kos_pmf_initLF50_K300_maxiter800.Rds
    Deleted:    output/uci_BoW/v0.3.9/kos_pmf_initLF50_K300_maxiter900.Rds
    Deleted:    output/uci_BoW/v0.3.9/kos_pmf_initLF50_K50_maxiter1000.Rds
    Deleted:    output/uci_BoW/v0.3.9/kos_pmf_initLF50_K50_maxiter1500.Rds
    Deleted:    output/uci_BoW/v0.3.9/kos_pmf_initLF50_K50_maxiter2000.Rds
    Deleted:    output/uci_BoW/v0.3.9/kos_pmf_initLF50_K50_maxiter2500.Rds
    Deleted:    output/uci_BoW/v0.3.9/kos_pmf_initLF50_K50_maxiter3000.Rds
    Deleted:    output/uci_BoW/v0.3.9/kos_pmf_initLF50_K50_maxiter3500.Rds
    Deleted:    output/uci_BoW/v0.3.9/kos_pmf_initLF50_K50_maxiter4000.Rds
    Deleted:    output/uci_BoW/v0.3.9/kos_pmf_initLF50_K50_maxiter4500.Rds
    Deleted:    output/uci_BoW/v0.3.9/kos_pmf_initLF50_K50_maxiter500.Rds
    Deleted:    output/uci_BoW/v0.3.9/kos_pmf_initLF50_K50_maxiter5000.Rds
    Deleted:    output/uci_BoW/v0.4.2/fit_kos_ebpmf_wbg_initLF_K100_maxiter_5000.Rout
    Deleted:    output/uci_BoW/v0.4.2/fit_kos_ebpmf_wbg_initLF_K20_maxiter_5000.Rout
    Deleted:    output/uci_BoW/v0.4.2/fit_kos_ebpmf_wbg_initLF_K50_maxiter_5000.Rout
    Deleted:    output/uci_BoW/v0.4.2/fit_kos_ebpmf_wbg_initL_K100_maxiter_5000.Rout
    Deleted:    output/uci_BoW/v0.4.2/fit_kos_ebpmf_wbg_initL_K20_maxiter_5000.Rout
    Deleted:    output/uci_BoW/v0.4.2/fit_kos_ebpmf_wbg_initL_K50_maxiter_5000.Rout
    Deleted:    output/uci_BoW/v0.4.2/kos_ebpmf_wbg_initL50_K20_maxiter10.Rds
    Deleted:    output/uci_BoW/v0.4.2/kos_ebpmf_wbg_initL50_K20_maxiter1000.Rds
    Deleted:    output/uci_BoW/v0.4.2/kos_ebpmf_wbg_initL50_K20_maxiter1500.Rds
    Deleted:    output/uci_BoW/v0.4.2/kos_ebpmf_wbg_initL50_K20_maxiter2000.Rds
    Deleted:    output/uci_BoW/v0.4.2/kos_ebpmf_wbg_initL50_K20_maxiter2500.Rds
    Deleted:    output/uci_BoW/v0.4.2/kos_ebpmf_wbg_initL50_K20_maxiter3000.Rds
    Deleted:    output/uci_BoW/v0.4.2/kos_ebpmf_wbg_initL50_K20_maxiter3500.Rds
    Deleted:    output/uci_BoW/v0.4.2/kos_ebpmf_wbg_initL50_K20_maxiter4000.Rds
    Deleted:    output/uci_BoW/v0.4.2/kos_ebpmf_wbg_initL50_K20_maxiter4500.Rds
    Deleted:    output/uci_BoW/v0.4.2/kos_ebpmf_wbg_initL50_K20_maxiter500.Rds
    Deleted:    output/uci_BoW/v0.4.2/kos_ebpmf_wbg_initL50_K20_maxiter5000.Rds
    Deleted:    output/uci_BoW/v0.4.2/kos_ebpmf_wbg_initL50_K50_maxiter1000.Rds
    Deleted:    output/uci_BoW/v0.4.2/kos_ebpmf_wbg_initL50_K50_maxiter1500.Rds
    Deleted:    output/uci_BoW/v0.4.2/kos_ebpmf_wbg_initL50_K50_maxiter2000.Rds
    Deleted:    output/uci_BoW/v0.4.2/kos_ebpmf_wbg_initL50_K50_maxiter2500.Rds
    Deleted:    output/uci_BoW/v0.4.2/kos_ebpmf_wbg_initL50_K50_maxiter3000.Rds
    Deleted:    output/uci_BoW/v0.4.2/kos_ebpmf_wbg_initL50_K50_maxiter3500.Rds
    Deleted:    output/uci_BoW/v0.4.2/kos_ebpmf_wbg_initL50_K50_maxiter4000.Rds
    Deleted:    output/uci_BoW/v0.4.2/kos_ebpmf_wbg_initL50_K50_maxiter4500.Rds
    Deleted:    output/uci_BoW/v0.4.2/kos_ebpmf_wbg_initL50_K50_maxiter500.Rds
    Deleted:    output/uci_BoW/v0.4.2/kos_ebpmf_wbg_initL50_K50_maxiter5000.Rds
    Deleted:    output/uci_BoW/v0.4.2/kos_ebpmf_wbg_initLF50_K100_maxiter1000.Rds
    Deleted:    output/uci_BoW/v0.4.2/kos_ebpmf_wbg_initLF50_K100_maxiter1500.Rds
    Deleted:    output/uci_BoW/v0.4.2/kos_ebpmf_wbg_initLF50_K100_maxiter2000.Rds
    Deleted:    output/uci_BoW/v0.4.2/kos_ebpmf_wbg_initLF50_K100_maxiter2500.Rds
    Deleted:    output/uci_BoW/v0.4.2/kos_ebpmf_wbg_initLF50_K100_maxiter500.Rds
    Deleted:    output/uci_BoW/v0.4.2/kos_ebpmf_wbg_initLF50_K20_maxiter10.Rds
    Deleted:    output/uci_BoW/v0.4.2/kos_ebpmf_wbg_initLF50_K20_maxiter1000.Rds
    Deleted:    output/uci_BoW/v0.4.2/kos_ebpmf_wbg_initLF50_K20_maxiter1500.Rds
    Deleted:    output/uci_BoW/v0.4.2/kos_ebpmf_wbg_initLF50_K20_maxiter2000.Rds
    Deleted:    output/uci_BoW/v0.4.2/kos_ebpmf_wbg_initLF50_K20_maxiter2500.Rds
    Deleted:    output/uci_BoW/v0.4.2/kos_ebpmf_wbg_initLF50_K20_maxiter3000.Rds
    Deleted:    output/uci_BoW/v0.4.2/kos_ebpmf_wbg_initLF50_K20_maxiter3500.Rds
    Deleted:    output/uci_BoW/v0.4.2/kos_ebpmf_wbg_initLF50_K20_maxiter4000.Rds
    Deleted:    output/uci_BoW/v0.4.2/kos_ebpmf_wbg_initLF50_K20_maxiter4500.Rds
    Deleted:    output/uci_BoW/v0.4.2/kos_ebpmf_wbg_initLF50_K20_maxiter500.Rds
    Deleted:    output/uci_BoW/v0.4.2/kos_ebpmf_wbg_initLF50_K20_maxiter5000.Rds
    Deleted:    output/uci_BoW/v0.4.2/kos_ebpmf_wbg_initLF50_K3_maxiter10.Rds
    Deleted:    output/uci_BoW/v0.4.2/kos_ebpmf_wbg_initLF50_K50_maxiter1000.Rds
    Deleted:    output/uci_BoW/v0.4.2/kos_ebpmf_wbg_initLF50_K50_maxiter1500.Rds
    Deleted:    output/uci_BoW/v0.4.2/kos_ebpmf_wbg_initLF50_K50_maxiter2000.Rds
    Deleted:    output/uci_BoW/v0.4.2/kos_ebpmf_wbg_initLF50_K50_maxiter2500.Rds
    Deleted:    output/uci_BoW/v0.4.2/kos_ebpmf_wbg_initLF50_K50_maxiter3000.Rds
    Deleted:    output/uci_BoW/v0.4.2/kos_ebpmf_wbg_initLF50_K50_maxiter3500.Rds
    Deleted:    output/uci_BoW/v0.4.2/kos_ebpmf_wbg_initLF50_K50_maxiter4000.Rds
    Deleted:    output/uci_BoW/v0.4.2/kos_ebpmf_wbg_initLF50_K50_maxiter4500.Rds
    Deleted:    output/uci_BoW/v0.4.2/kos_ebpmf_wbg_initLF50_K50_maxiter500.Rds
    Deleted:    output/uci_BoW/v0.4.2/kos_ebpmf_wbg_initLF50_K50_maxiter5000.Rds
    Deleted:    output/uci_BoW/v0.4.2/kos_init_nmf_K100_iter50.Rds
    Deleted:    output/uci_BoW/v0.4.2/kos_init_nmf_K20_iter50.Rds
    Deleted:    output/uci_BoW/v0.4.2/kos_init_nmf_K300_iter50.Rds
    Deleted:    output/uci_BoW/v0.4.2/kos_init_nmf_K3_iter50.Rds
    Deleted:    output/uci_BoW/v0.4.2/kos_init_nmf_K500_iter50.Rds
    Deleted:    output/uci_BoW/v0.4.2/kos_init_nmf_K50_iter50.Rds
    Deleted:    output/uci_BoW/v0.4.4/fit_kos_np_ebpmf_wbg_initLF_K100_maxiter_5000.Rout
    Deleted:    output/uci_BoW/v0.4.4/fit_kos_np_ebpmf_wbg_initLF_K20_maxiter_5000.Rout
    Deleted:    output/uci_BoW/v0.4.4/fit_kos_np_ebpmf_wbg_initLF_K50_maxiter_5000.Rout
    Deleted:    output/uci_BoW/v0.4.4/kos_np_ebpmf_wbg_initLF50_K100_maxiter500.Rds
    Deleted:    output/uci_BoW/v0.4.4/kos_np_ebpmf_wbg_initLF50_K20_maxiter500.Rds
    Deleted:    output/uci_BoW/v0.4.4/kos_np_ebpmf_wbg_initLF50_K50_maxiter500.Rds
    Modified:   script/fit_kos_NMF_F.R
    Modified:   topicView-app/app.R

Note that any generated files, e.g. HTML, png, CSS, etc., are not included in this status report because it is ok for generated content to have uncommitted changes.


These are the previous versions of the repository in which changes were made to the R Markdown (analysis/cone_nmf_f_3.Rmd) and HTML (docs/cone_nmf_f_3.html) files. If you’ve configured a remote Git repository (see ?wflow_git_remote), click on the hyperlinks in the table below to view the files as they were in that past version.

File Version Author Date Message
Rmd 1e1f5ed zihao12 2021-06-17 update cone_nmf_f_3.Rmd
html 454edc8 zihao12 2021-06-17 Build site.
Rmd 3fd0f44 zihao12 2021-06-17 update cone_nmf_f_3.Rmd
Rmd 80e32ab zihao12 2021-06-17 update cone_nmf_f_3.Rmd
html 463e2bf zihao12 2021-06-17 Build site.
Rmd 0382ba7 zihao12 2021-06-17 update cone_nmf_f_3.Rmd
html 06996fb zihao12 2021-06-16 Build site.
Rmd a360841 zihao12 2021-06-16 update cone_nmf_f_3.Rmd
html 7ceb75d zihao12 2021-06-15 Build site.
Rmd 3bc8ce2 zihao12 2021-06-15 cone_nmf_f_3.Rmd
html 1f213e0 zihao12 2021-06-15 Build site.
Rmd 1431b86 zihao12 2021-06-15 wflow_publish(“analysis/cone_nmf_f_3.Rmd”)

Introduction

I want to confirm my observation that cone NMF (F norm) solution converges to where \(B, W^t\) are the same, on realistic data. Here I fit it on a document dataset with \((n, p) = (3430, 6906)\)

rm(list = ls())
source("code/cone_NMF_l2.R")
source("code/smallsim2_functions.R")
source("code/misc.R")
source("code/util.R")
set.seed(123)

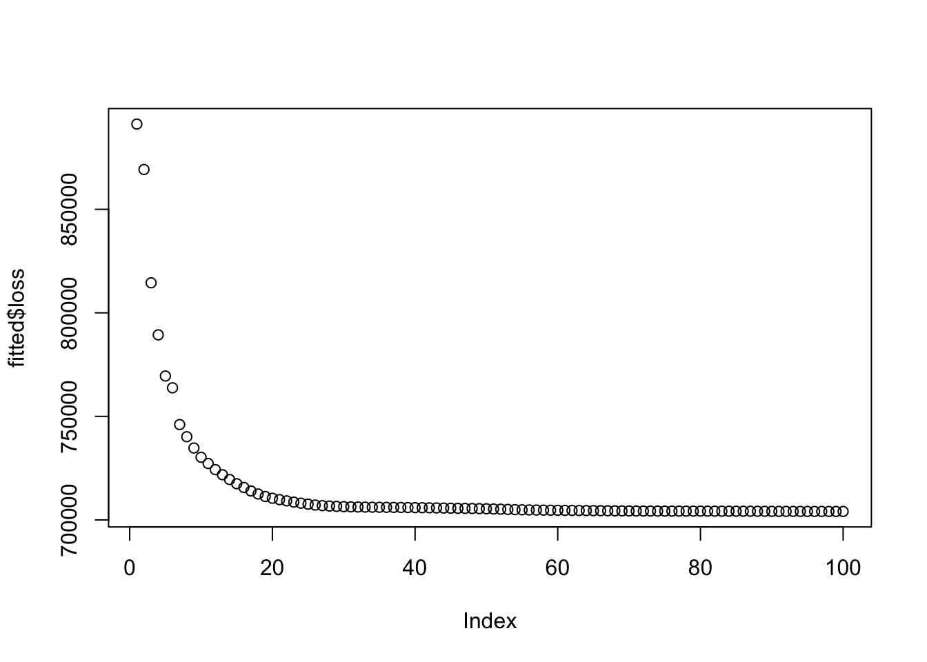
Fit for 100 iterations

Note it has not converged it.

fitted = readRDS("output/fitted_kos_coneNMF_F_K20.Rds")
plot(fitted$loss)

Version Author Date
7ceb75d zihao12 2021-06-15
fitted$runtime
    user   system  elapsed 
1024.484  428.177 1455.753 

Indeed \(B, W^t\) are basically identical.

k = ncol(fitted$B)
par(mfrow = c(5, 4))
for(i in 1:k){
  plot(fitted$B[,i], fitted$W[i,], xlab = "bk",ylab = "wk", cex.lab = 1)
  abline(a = 0, b = 1, col = "blue")
  
}

Version Author Date
1f213e0 zihao12 2021-06-15

Fit for 1000 iterations

fitted = readRDS("output/fitted_kos_coneNMF_F_K20_iter1000.Rds")
plot(fitted$loss)

Version Author Date
454edc8 zihao12 2021-06-17
463e2bf zihao12 2021-06-17
06996fb zihao12 2021-06-16
fitted$runtime
     user    system   elapsed 
10361.252  3976.731 14359.158 

Indeed \(B, W^t\) are basically identical. Will show the results after 1000 iterations when ready.

k = ncol(fitted$B)
par(mfrow = c(5, 4))
for(i in 1:k){
  plot(fitted$B[,i], fitted$W[i,], xlab = "bk",ylab = "wk", cex.lab = 1)
  abline(a = 0, b = 1, col = "blue")
}

Version Author Date
454edc8 zihao12 2021-06-17
463e2bf zihao12 2021-06-17
06996fb zihao12 2021-06-16

compare with regular NMF

Initialized from coneNMF (iter100) and ran only 20 iterations till converged (rel.tol = 1e-05)

fitted_nmf = readRDS("output/fitted_kos_NMF_F_K20.Rds")
n= ncol(fitted_nmf$H)
p= nrow(fitted_nmf$W)


## mse: NMF vs coneNMF
c(min(fitted_nmf$target.loss), min(fitted$loss)/(n*p*2))
[1] 0.01400633 0.01484356

Compare L

par(mfrow = c(5, 4))
for(i in 1:k){
  plot(fitted$W[i,], fitted_nmf$H[i,],xlab = "Lk (coneNMF)",ylab = "Lk (NMF)", cex.lab = 1)
  abline(a = 0, b = 1, col = "blue")
}

Version Author Date
454edc8 zihao12 2021-06-17

Compare F

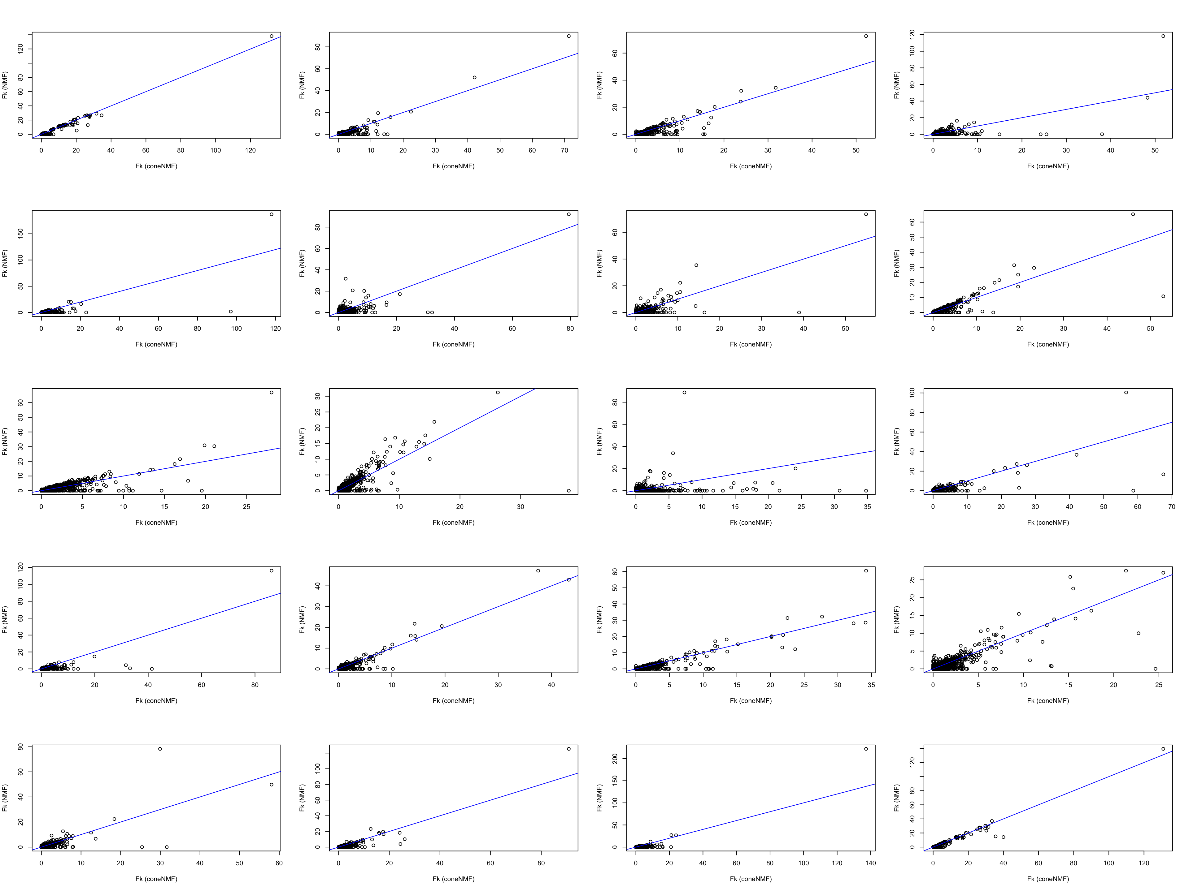
par(mfrow = c(5, 4))
for(i in 1:k){
  plot(fitted$A[,i], fitted_nmf$W[,i],xlab = "Fk (coneNMF)",ylab = "Fk (NMF)", cex.lab = 1)
  abline(a = 0, b = 1, col = "blue")
}

Version Author Date
454edc8 zihao12 2021-06-17

Is the NMF solution contained in the cone?

F_proj = readRDS("output/kos_coneFactor_F.Rds")$f_proj
par(mfrow = c(5, 4))
for(i in 1:k){
  f = fitted$A[,i]
  f_proj  = F_proj[[i]]
  plot(f, f_proj$fitted, ylab = "f_proj", cex.lab = 1)
  abline(a = 0, b = 1, col = "blue")
  
}

Version Author Date
454edc8 zihao12 2021-06-17

sessionInfo()
R version 3.5.1 (2018-07-02)
Platform: x86_64-apple-darwin15.6.0 (64-bit)
Running under: macOS  10.15.7

Matrix products: default
BLAS: /Library/Frameworks/R.framework/Versions/3.5/Resources/lib/libRblas.0.dylib
LAPACK: /Library/Frameworks/R.framework/Versions/3.5/Resources/lib/libRlapack.dylib

locale:
[1] en_US.UTF-8/en_US.UTF-8/en_US.UTF-8/C/en_US.UTF-8/en_US.UTF-8

attached base packages:
[1] stats     graphics  grDevices utils     datasets  methods   base     

other attached packages:
[1] pheatmap_1.0.12 mvtnorm_1.1-0   workflowr_1.6.2

loaded via a namespace (and not attached):
 [1] Rcpp_1.0.5         knitr_1.28         whisker_0.3-2      magrittr_1.5      
 [5] munsell_0.5.0      colorspace_1.4-1   R6_2.4.1           rlang_0.4.5       
 [9] stringr_1.4.0      tools_3.5.1        grid_3.5.1         gtable_0.3.0      
[13] xfun_0.8           git2r_0.26.1       htmltools_0.5.0    yaml_2.2.0        
[17] digest_0.6.25      rprojroot_1.3-2    lifecycle_0.2.0    RColorBrewer_1.1-2
[21] later_1.1.0.1      promises_1.1.1     fs_1.3.1           glue_1.4.1        
[25] evaluate_0.14      rmarkdown_2.1      stringi_1.6.2      compiler_3.5.1    
[29] scales_1.1.1       backports_1.1.7    httpuv_1.5.4