Last updated: 2021-06-24

Checks: 6 1

Knit directory: ebpmf_data_analysis/

This reproducible R Markdown analysis was created with workflowr (version 1.6.2). The Checks tab describes the reproducibility checks that were applied when the results were created. The Past versions tab lists the development history.


Great! Since the R Markdown file has been committed to the Git repository, you know the exact version of the code that produced these results.

Great job! The global environment was empty. Objects defined in the global environment can affect the analysis in your R Markdown file in unknown ways. For reproduciblity it’s best to always run the code in an empty environment.

The command set.seed(20200511) was run prior to running the code in the R Markdown file. Setting a seed ensures that any results that rely on randomness, e.g. subsampling or permutations, are reproducible.

Great job! Recording the operating system, R version, and package versions is critical for reproducibility.

The following chunks had caches available:
  • unnamed-chunk-3
  • unnamed-chunk-4

To ensure reproducibility of the results, delete the cache directory prepare_sla_sim_cache and re-run the analysis. To have workflowr automatically delete the cache directory prior to building the file, set delete_cache = TRUE when running wflow_build() or wflow_publish().

Great job! Using relative paths to the files within your workflowr project makes it easier to run your code on other machines.

Great! You are using Git for version control. Tracking code development and connecting the code version to the results is critical for reproducibility.

The results in this page were generated with repository version 7cb1af3. See the Past versions tab to see a history of the changes made to the R Markdown and HTML files.

Note that you need to be careful to ensure that all relevant files for the analysis have been committed to Git prior to generating the results (you can use wflow_publish or wflow_git_commit). workflowr only checks the R Markdown file, but you know if there are other scripts or data files that it depends on. Below is the status of the Git repository when the results were generated:


Ignored files:
    Ignored:    .Rproj.user/
    Ignored:    analysis/fastTopics_on_sla_cache/
    Ignored:    analysis/investigate_F_proj_cache/
    Ignored:    analysis/prepare_sla_sim_cache/

Untracked files:
    Untracked:  analysis/investigate_F_proj_cache_old/
    Untracked:  analysis/prepare_sim_data.Rmd
    Untracked:  data/SLA/SLA_preprocessed_minzhe.RData
    Untracked:  data/SLA/docword.sla_minzhe.txt
    Untracked:  data/SLA/vocab.sla_minzhe.txt
    Untracked:  data/sim/sla_simulated.Rds
    Untracked:  output/NIPS/v0.4.5/nips_ebpmf_wbg_initLF50_K20_maxiter1000.Rds
    Untracked:  output/NIPS/v0.4.5/nips_ebpmf_wbg_initLF50_K20_maxiter1500.Rds
    Untracked:  output/NIPS/v0.4.5/nips_ebpmf_wbg_initLF50_K20_maxiter2500.Rds
    Untracked:  output/NIPS/v0.4.5/nips_ebpmf_wbg_initLF50_K20_maxiter3000.Rds
    Untracked:  output/NIPS/v0.4.5/nips_ebpmf_wbg_initLF50_K20_maxiter3500.Rds
    Untracked:  output/NIPS/v0.4.5/nips_ebpmf_wbg_initLF50_K20_maxiter4000.Rds
    Untracked:  output/NIPS/v0.4.5/nips_ebpmf_wbg_initLF50_K20_maxiter4500.Rds
    Untracked:  output/NIPS/v0.4.5/nips_ebpmf_wbg_initLF50_K20_maxiter500.Rds
    Untracked:  output/NIPS/v0.4.5/nips_init_nmf_K20_iter50.Rds
    Untracked:  output/NIPS/v0.4.5/nips_pmf_initLF50_K20_maxiter1000.Rds
    Untracked:  output/NIPS/v0.4.5/nips_pmf_initLF50_K20_maxiter1500.Rds
    Untracked:  output/NIPS/v0.4.5/nips_pmf_initLF50_K20_maxiter2500.Rds
    Untracked:  output/NIPS/v0.4.5/nips_pmf_initLF50_K20_maxiter3000.Rds
    Untracked:  output/NIPS/v0.4.5/nips_pmf_initLF50_K20_maxiter3500.Rds
    Untracked:  output/NIPS/v0.4.5/nips_pmf_initLF50_K20_maxiter4000.Rds
    Untracked:  output/NIPS/v0.4.5/nips_pmf_initLF50_K20_maxiter4500.Rds
    Untracked:  output/NIPS/v0.4.5/nips_pmf_initLF50_K20_maxiter500.Rds
    Untracked:  output/News/v0.4.5/news_ebpmf_wbg_initLF50_K20_maxiter1000.Rds
    Untracked:  output/News/v0.4.5/news_ebpmf_wbg_initLF50_K20_maxiter1500.Rds
    Untracked:  output/News/v0.4.5/news_ebpmf_wbg_initLF50_K20_maxiter500.Rds
    Untracked:  output/News/v0.4.5/news_init_nmf_K20_iter50.Rds
    Untracked:  output/News/v0.4.5/news_pmf_initLF50_K20_maxiter1000.Rds
    Untracked:  output/News/v0.4.5/news_pmf_initLF50_K20_maxiter1500.Rds
    Untracked:  output/News/v0.4.5/news_pmf_initLF50_K20_maxiter2500.Rds
    Untracked:  output/News/v0.4.5/news_pmf_initLF50_K20_maxiter3000.Rds
    Untracked:  output/News/v0.4.5/news_pmf_initLF50_K20_maxiter3500.Rds
    Untracked:  output/News/v0.4.5/news_pmf_initLF50_K20_maxiter4000.Rds
    Untracked:  output/News/v0.4.5/news_pmf_initLF50_K20_maxiter4500.Rds
    Untracked:  output/News/v0.4.5/news_pmf_initLF50_K20_maxiter500.Rds
    Untracked:  output/SLA/v0.4.5/Rplots.pdf
    Untracked:  output/SLA/v0.4.5/correct_kl.R
    Untracked:  output/SLA/v0.4.5/sla_ebpmf_wbg_initLF50_K100_maxiter1000.Rds
    Untracked:  output/SLA/v0.4.5/sla_ebpmf_wbg_initLF50_K100_maxiter1500.Rds
    Untracked:  output/SLA/v0.4.5/sla_ebpmf_wbg_initLF50_K100_maxiter2500.Rds
    Untracked:  output/SLA/v0.4.5/sla_ebpmf_wbg_initLF50_K100_maxiter500.Rds
    Untracked:  output/SLA/v0.4.5/sla_ebpmf_wbg_initLF50_K10_maxiter1000.Rds
    Untracked:  output/SLA/v0.4.5/sla_ebpmf_wbg_initLF50_K10_maxiter1500.Rds
    Untracked:  output/SLA/v0.4.5/sla_ebpmf_wbg_initLF50_K10_maxiter2500.Rds
    Untracked:  output/SLA/v0.4.5/sla_ebpmf_wbg_initLF50_K10_maxiter3000.Rds
    Untracked:  output/SLA/v0.4.5/sla_ebpmf_wbg_initLF50_K10_maxiter3500.Rds
    Untracked:  output/SLA/v0.4.5/sla_ebpmf_wbg_initLF50_K10_maxiter4000.Rds
    Untracked:  output/SLA/v0.4.5/sla_ebpmf_wbg_initLF50_K10_maxiter4500.Rds
    Untracked:  output/SLA/v0.4.5/sla_ebpmf_wbg_initLF50_K10_maxiter500.Rds
    Untracked:  output/SLA/v0.4.5/sla_ebpmf_wbg_initLF50_K50_maxiter1000.Rds
    Untracked:  output/SLA/v0.4.5/sla_ebpmf_wbg_initLF50_K50_maxiter1500.Rds
    Untracked:  output/SLA/v0.4.5/sla_ebpmf_wbg_initLF50_K50_maxiter2500.Rds
    Untracked:  output/SLA/v0.4.5/sla_ebpmf_wbg_initLF50_K50_maxiter3000.Rds
    Untracked:  output/SLA/v0.4.5/sla_ebpmf_wbg_initLF50_K50_maxiter3500.Rds
    Untracked:  output/SLA/v0.4.5/sla_ebpmf_wbg_initLF50_K50_maxiter4000.Rds
    Untracked:  output/SLA/v0.4.5/sla_ebpmf_wbg_initLF50_K50_maxiter4500.Rds
    Untracked:  output/SLA/v0.4.5/sla_ebpmf_wbg_initLF50_K50_maxiter500.Rds
    Untracked:  output/SLA/v0.4.5/sla_ebpmf_wbg_initLF50_K5_maxiter1000.Rds
    Untracked:  output/SLA/v0.4.5/sla_ebpmf_wbg_initLF50_K5_maxiter1500.Rds
    Untracked:  output/SLA/v0.4.5/sla_ebpmf_wbg_initLF50_K5_maxiter2500.Rds
    Untracked:  output/SLA/v0.4.5/sla_ebpmf_wbg_initLF50_K5_maxiter3000.Rds
    Untracked:  output/SLA/v0.4.5/sla_ebpmf_wbg_initLF50_K5_maxiter3500.Rds
    Untracked:  output/SLA/v0.4.5/sla_ebpmf_wbg_initLF50_K5_maxiter4000.Rds
    Untracked:  output/SLA/v0.4.5/sla_ebpmf_wbg_initLF50_K5_maxiter4500.Rds
    Untracked:  output/SLA/v0.4.5/sla_ebpmf_wbg_initLF50_K5_maxiter500.Rds
    Untracked:  output/SLA/v0.4.5/sla_init_nmf_K100_iter50.Rds
    Untracked:  output/SLA/v0.4.5/sla_init_nmf_K10_iter50.Rds
    Untracked:  output/SLA/v0.4.5/sla_init_nmf_K50_iter50.Rds
    Untracked:  output/SLA/v0.4.5/sla_init_nmf_K5_iter50.Rds
    Untracked:  output/SLA/v0.4.5/sla_minzhe_ebpmf_wbg_initLF50_K100_maxiter1000.Rds
    Untracked:  output/SLA/v0.4.5/sla_minzhe_ebpmf_wbg_initLF50_K100_maxiter1500.Rds
    Untracked:  output/SLA/v0.4.5/sla_minzhe_ebpmf_wbg_initLF50_K100_maxiter2500.Rds
    Untracked:  output/SLA/v0.4.5/sla_minzhe_ebpmf_wbg_initLF50_K100_maxiter3000.Rds
    Untracked:  output/SLA/v0.4.5/sla_minzhe_ebpmf_wbg_initLF50_K100_maxiter3500.Rds
    Untracked:  output/SLA/v0.4.5/sla_minzhe_ebpmf_wbg_initLF50_K100_maxiter4000.Rds
    Untracked:  output/SLA/v0.4.5/sla_minzhe_ebpmf_wbg_initLF50_K100_maxiter4500.Rds
    Untracked:  output/SLA/v0.4.5/sla_minzhe_ebpmf_wbg_initLF50_K100_maxiter500.Rds
    Untracked:  output/SLA/v0.4.5/sla_minzhe_ebpmf_wbg_initLF50_K10_maxiter1000.Rds
    Untracked:  output/SLA/v0.4.5/sla_minzhe_ebpmf_wbg_initLF50_K10_maxiter1500.Rds
    Untracked:  output/SLA/v0.4.5/sla_minzhe_ebpmf_wbg_initLF50_K10_maxiter2500.Rds
    Untracked:  output/SLA/v0.4.5/sla_minzhe_ebpmf_wbg_initLF50_K10_maxiter3000.Rds
    Untracked:  output/SLA/v0.4.5/sla_minzhe_ebpmf_wbg_initLF50_K10_maxiter3500.Rds
    Untracked:  output/SLA/v0.4.5/sla_minzhe_ebpmf_wbg_initLF50_K10_maxiter4000.Rds
    Untracked:  output/SLA/v0.4.5/sla_minzhe_ebpmf_wbg_initLF50_K10_maxiter4500.Rds
    Untracked:  output/SLA/v0.4.5/sla_minzhe_ebpmf_wbg_initLF50_K10_maxiter50.Rds
    Untracked:  output/SLA/v0.4.5/sla_minzhe_ebpmf_wbg_initLF50_K10_maxiter500.Rds
    Untracked:  output/SLA/v0.4.5/sla_minzhe_ebpmf_wbg_initLF50_K50_maxiter1000.Rds
    Untracked:  output/SLA/v0.4.5/sla_minzhe_ebpmf_wbg_initLF50_K50_maxiter1500.Rds
    Untracked:  output/SLA/v0.4.5/sla_minzhe_ebpmf_wbg_initLF50_K50_maxiter2500.Rds
    Untracked:  output/SLA/v0.4.5/sla_minzhe_ebpmf_wbg_initLF50_K50_maxiter3000.Rds
    Untracked:  output/SLA/v0.4.5/sla_minzhe_ebpmf_wbg_initLF50_K50_maxiter3500.Rds
    Untracked:  output/SLA/v0.4.5/sla_minzhe_ebpmf_wbg_initLF50_K50_maxiter4000.Rds
    Untracked:  output/SLA/v0.4.5/sla_minzhe_ebpmf_wbg_initLF50_K50_maxiter4500.Rds
    Untracked:  output/SLA/v0.4.5/sla_minzhe_ebpmf_wbg_initLF50_K50_maxiter500.Rds
    Untracked:  output/SLA/v0.4.5/sla_minzhe_ebpmf_wbg_initLF50_K5_maxiter1000.Rds
    Untracked:  output/SLA/v0.4.5/sla_minzhe_ebpmf_wbg_initLF50_K5_maxiter1500.Rds
    Untracked:  output/SLA/v0.4.5/sla_minzhe_ebpmf_wbg_initLF50_K5_maxiter2500.Rds
    Untracked:  output/SLA/v0.4.5/sla_minzhe_ebpmf_wbg_initLF50_K5_maxiter3000.Rds
    Untracked:  output/SLA/v0.4.5/sla_minzhe_ebpmf_wbg_initLF50_K5_maxiter3500.Rds
    Untracked:  output/SLA/v0.4.5/sla_minzhe_ebpmf_wbg_initLF50_K5_maxiter4000.Rds
    Untracked:  output/SLA/v0.4.5/sla_minzhe_ebpmf_wbg_initLF50_K5_maxiter4500.Rds
    Untracked:  output/SLA/v0.4.5/sla_minzhe_ebpmf_wbg_initLF50_K5_maxiter500.Rds
    Untracked:  output/SLA/v0.4.5/sla_minzhe_init_nmf_K100_iter50.Rds
    Untracked:  output/SLA/v0.4.5/sla_minzhe_init_nmf_K10_iter50.Rds
    Untracked:  output/SLA/v0.4.5/sla_minzhe_init_nmf_K3_iter50.Rds
    Untracked:  output/SLA/v0.4.5/sla_minzhe_init_nmf_K50_iter50.Rds
    Untracked:  output/SLA/v0.4.5/sla_minzhe_init_nmf_K5_iter50.Rds
    Untracked:  output/SLA/v0.4.5/sla_minzhe_pmf_initLF50_K100_maxiter1000.Rds
    Untracked:  output/SLA/v0.4.5/sla_minzhe_pmf_initLF50_K100_maxiter1500.Rds
    Untracked:  output/SLA/v0.4.5/sla_minzhe_pmf_initLF50_K100_maxiter2500.Rds
    Untracked:  output/SLA/v0.4.5/sla_minzhe_pmf_initLF50_K100_maxiter3000.Rds
    Untracked:  output/SLA/v0.4.5/sla_minzhe_pmf_initLF50_K100_maxiter3500.Rds
    Untracked:  output/SLA/v0.4.5/sla_minzhe_pmf_initLF50_K100_maxiter4000.Rds
    Untracked:  output/SLA/v0.4.5/sla_minzhe_pmf_initLF50_K100_maxiter4500.Rds
    Untracked:  output/SLA/v0.4.5/sla_minzhe_pmf_initLF50_K100_maxiter500.Rds
    Untracked:  output/SLA/v0.4.5/sla_minzhe_pmf_initLF50_K10_maxiter1000.Rds
    Untracked:  output/SLA/v0.4.5/sla_minzhe_pmf_initLF50_K10_maxiter1500.Rds
    Untracked:  output/SLA/v0.4.5/sla_minzhe_pmf_initLF50_K10_maxiter2500.Rds
    Untracked:  output/SLA/v0.4.5/sla_minzhe_pmf_initLF50_K10_maxiter3000.Rds
    Untracked:  output/SLA/v0.4.5/sla_minzhe_pmf_initLF50_K10_maxiter3500.Rds
    Untracked:  output/SLA/v0.4.5/sla_minzhe_pmf_initLF50_K10_maxiter4000.Rds
    Untracked:  output/SLA/v0.4.5/sla_minzhe_pmf_initLF50_K10_maxiter4500.Rds
    Untracked:  output/SLA/v0.4.5/sla_minzhe_pmf_initLF50_K10_maxiter500.Rds
    Untracked:  output/SLA/v0.4.5/sla_minzhe_pmf_initLF50_K3_maxiter30.Rds
    Untracked:  output/SLA/v0.4.5/sla_minzhe_pmf_initLF50_K50_maxiter1000.Rds
    Untracked:  output/SLA/v0.4.5/sla_minzhe_pmf_initLF50_K50_maxiter1500.Rds
    Untracked:  output/SLA/v0.4.5/sla_minzhe_pmf_initLF50_K50_maxiter2500.Rds
    Untracked:  output/SLA/v0.4.5/sla_minzhe_pmf_initLF50_K50_maxiter3000.Rds
    Untracked:  output/SLA/v0.4.5/sla_minzhe_pmf_initLF50_K50_maxiter3500.Rds
    Untracked:  output/SLA/v0.4.5/sla_minzhe_pmf_initLF50_K50_maxiter4000.Rds
    Untracked:  output/SLA/v0.4.5/sla_minzhe_pmf_initLF50_K50_maxiter4500.Rds
    Untracked:  output/SLA/v0.4.5/sla_minzhe_pmf_initLF50_K50_maxiter500.Rds
    Untracked:  output/SLA/v0.4.5/sla_minzhe_pmf_initLF50_K5_maxiter1000.Rds
    Untracked:  output/SLA/v0.4.5/sla_minzhe_pmf_initLF50_K5_maxiter1500.Rds
    Untracked:  output/SLA/v0.4.5/sla_minzhe_pmf_initLF50_K5_maxiter2500.Rds
    Untracked:  output/SLA/v0.4.5/sla_minzhe_pmf_initLF50_K5_maxiter3000.Rds
    Untracked:  output/SLA/v0.4.5/sla_minzhe_pmf_initLF50_K5_maxiter3500.Rds
    Untracked:  output/SLA/v0.4.5/sla_minzhe_pmf_initLF50_K5_maxiter4000.Rds
    Untracked:  output/SLA/v0.4.5/sla_minzhe_pmf_initLF50_K5_maxiter4500.Rds
    Untracked:  output/SLA/v0.4.5/sla_minzhe_pmf_initLF50_K5_maxiter500.Rds
    Untracked:  output/SLA/v0.4.5/sla_pmf_initLF50_K100_maxiter1000.Rds
    Untracked:  output/SLA/v0.4.5/sla_pmf_initLF50_K100_maxiter1500.Rds
    Untracked:  output/SLA/v0.4.5/sla_pmf_initLF50_K100_maxiter2500.Rds
    Untracked:  output/SLA/v0.4.5/sla_pmf_initLF50_K100_maxiter3000.Rds
    Untracked:  output/SLA/v0.4.5/sla_pmf_initLF50_K100_maxiter3500.Rds
    Untracked:  output/SLA/v0.4.5/sla_pmf_initLF50_K100_maxiter4000.Rds
    Untracked:  output/SLA/v0.4.5/sla_pmf_initLF50_K100_maxiter4500.Rds
    Untracked:  output/SLA/v0.4.5/sla_pmf_initLF50_K100_maxiter500.Rds
    Untracked:  output/SLA/v0.4.5/sla_pmf_initLF50_K10_maxiter1000.Rds
    Untracked:  output/SLA/v0.4.5/sla_pmf_initLF50_K10_maxiter1500.Rds
    Untracked:  output/SLA/v0.4.5/sla_pmf_initLF50_K10_maxiter2500.Rds
    Untracked:  output/SLA/v0.4.5/sla_pmf_initLF50_K10_maxiter3000.Rds
    Untracked:  output/SLA/v0.4.5/sla_pmf_initLF50_K10_maxiter3500.Rds
    Untracked:  output/SLA/v0.4.5/sla_pmf_initLF50_K10_maxiter4000.Rds
    Untracked:  output/SLA/v0.4.5/sla_pmf_initLF50_K10_maxiter4500.Rds
    Untracked:  output/SLA/v0.4.5/sla_pmf_initLF50_K10_maxiter500.Rds
    Untracked:  output/SLA/v0.4.5/sla_pmf_initLF50_K50_maxiter1000.Rds
    Untracked:  output/SLA/v0.4.5/sla_pmf_initLF50_K50_maxiter1500.Rds
    Untracked:  output/SLA/v0.4.5/sla_pmf_initLF50_K50_maxiter2500.Rds
    Untracked:  output/SLA/v0.4.5/sla_pmf_initLF50_K50_maxiter3000.Rds
    Untracked:  output/SLA/v0.4.5/sla_pmf_initLF50_K50_maxiter3500.Rds
    Untracked:  output/SLA/v0.4.5/sla_pmf_initLF50_K50_maxiter4000.Rds
    Untracked:  output/SLA/v0.4.5/sla_pmf_initLF50_K50_maxiter4500.Rds
    Untracked:  output/SLA/v0.4.5/sla_pmf_initLF50_K50_maxiter500.Rds
    Untracked:  output/SLA/v0.4.5/sla_pmf_initLF50_K5_maxiter1000.Rds
    Untracked:  output/SLA/v0.4.5/sla_pmf_initLF50_K5_maxiter1500.Rds
    Untracked:  output/SLA/v0.4.5/sla_pmf_initLF50_K5_maxiter2500.Rds
    Untracked:  output/SLA/v0.4.5/sla_pmf_initLF50_K5_maxiter3000.Rds
    Untracked:  output/SLA/v0.4.5/sla_pmf_initLF50_K5_maxiter3500.Rds
    Untracked:  output/SLA/v0.4.5/sla_pmf_initLF50_K5_maxiter4000.Rds
    Untracked:  output/SLA/v0.4.5/sla_pmf_initLF50_K5_maxiter4500.Rds
    Untracked:  output/SLA/v0.4.5/sla_pmf_initLF50_K5_maxiter500.Rds
    Untracked:  output/fastTopics_fit/
    Untracked:  output/fit_kos_coneNMF_F.Rout
    Untracked:  output/sim/v0.4.5/exper1/fit_sim_bg_block_n1100_p2100_K50_pmf_maxiter_5000_from_truth.Rout
    Untracked:  output/sim/v0.4.5/exper1/sim_bg_block_n1100_p2100_K50_pmf_K50_maxiter1000_from_truth.Rds
    Untracked:  output/sim/v0.4.5/exper1/sim_bg_block_n1100_p2100_K50_pmf_K50_maxiter10_from_truth.Rds
    Untracked:  output/sim/v0.4.5/exper1/sim_bg_block_n1100_p2100_K50_pmf_K50_maxiter2000_from_truth.Rds
    Untracked:  output/sim/v0.4.5/exper1/sim_bg_block_n1100_p2100_K50_pmf_K50_maxiter3000_from_truth.Rds
    Untracked:  output/sim/v0.4.5/exper1/sim_bg_block_n1100_p2100_K50_pmf_K50_maxiter4000_from_truth.Rds
    Untracked:  output/sim/v0.4.5/exper1/sim_bg_block_n1100_p2100_K50_pmf_K50_maxiter5_from_truth.Rds
    Untracked:  output/sim/v0.4.5/exper2/fit_sim_bg_block_n1100_p2100_K50_ebpmf_wbg_maxiter_5000.Rout
    Untracked:  output/sim/v0.4.5/exper2/fit_sim_bg_block_n1100_p2100_K50_ebpmf_wbg_maxiter_5000_from_truth.Rout
    Untracked:  output/sim/v0.4.5/exper2/fit_sim_bg_block_n1100_p2100_K50_ebpmf_wbg_maxiter_5000_pmf_bg_K50_maxiter1000_from_truth.Rout
    Untracked:  output/sim/v0.4.5/exper2/fit_sim_bg_block_n1100_p2100_K50_ebpmf_wbg_maxiter_5000_pmf_bg_K50_maxiter10_from_truth_scaled0.Rout
    Untracked:  output/sim/v0.4.5/exper2/fit_sim_bg_block_n1100_p2100_K50_pmf_bg_maxiter_5000_from_truth.Rout
    Untracked:  output/sim/v0.4.5/exper2/fit_sim_bg_block_n1100_p2100_K50_pmf_maxiter_5000.Rout
    Untracked:  output/sim/v0.4.5/exper2/fit_sim_bg_block_n1100_p2100_K50_pmf_maxiter_5000_from_truth.Rout
    Untracked:  output/sim/v0.4.5/exper2/fit_sim_bg_block_n1100_p2100_K50_pmf_maxiter_5000_from_truth.Rout_old
    Untracked:  output/sim/v0.4.5/exper2/sim_bg_block_n1100_p2100_K50_ebpmf_wbg_K50_maxiter1000.Rds
    Untracked:  output/sim/v0.4.5/exper2/sim_bg_block_n1100_p2100_K50_ebpmf_wbg_K50_maxiter1000_from_truth.Rds
    Untracked:  output/sim/v0.4.5/exper2/sim_bg_block_n1100_p2100_K50_ebpmf_wbg_K50_maxiter1000_pmf_bg_K50_maxiter1000_from_truth.Rds
    Untracked:  output/sim/v0.4.5/exper2/sim_bg_block_n1100_p2100_K50_ebpmf_wbg_K50_maxiter1000_pmf_bg_K50_maxiter10_from_truth_scaled0.Rds
    Untracked:  output/sim/v0.4.5/exper2/sim_bg_block_n1100_p2100_K50_ebpmf_wbg_K50_maxiter1000_pmf_bg_K50_maxiter10_from_truth_scaled1.Rds
    Untracked:  output/sim/v0.4.5/exper2/sim_bg_block_n1100_p2100_K50_ebpmf_wbg_K50_maxiter100_from_truth.Rds
    Untracked:  output/sim/v0.4.5/exper2/sim_bg_block_n1100_p2100_K50_ebpmf_wbg_K50_maxiter10_pmf_bg_K50_maxiter1000_from_truth.Rds
    Untracked:  output/sim/v0.4.5/exper2/sim_bg_block_n1100_p2100_K50_ebpmf_wbg_K50_maxiter1500.Rds
    Untracked:  output/sim/v0.4.5/exper2/sim_bg_block_n1100_p2100_K50_ebpmf_wbg_K50_maxiter1500_pmf_bg_K50_maxiter1000_from_truth.Rds
    Untracked:  output/sim/v0.4.5/exper2/sim_bg_block_n1100_p2100_K50_ebpmf_wbg_K50_maxiter1500_pmf_bg_K50_maxiter10_from_truth_scaled0.Rds
    Untracked:  output/sim/v0.4.5/exper2/sim_bg_block_n1100_p2100_K50_ebpmf_wbg_K50_maxiter1500_pmf_bg_K50_maxiter10_from_truth_scaled1.Rds
    Untracked:  output/sim/v0.4.5/exper2/sim_bg_block_n1100_p2100_K50_ebpmf_wbg_K50_maxiter1_from_truth.Rds
    Untracked:  output/sim/v0.4.5/exper2/sim_bg_block_n1100_p2100_K50_ebpmf_wbg_K50_maxiter2000_pmf_bg_K50_maxiter1000_from_truth.Rds
    Untracked:  output/sim/v0.4.5/exper2/sim_bg_block_n1100_p2100_K50_ebpmf_wbg_K50_maxiter2000_pmf_bg_K50_maxiter10_from_truth_scaled0.Rds
    Untracked:  output/sim/v0.4.5/exper2/sim_bg_block_n1100_p2100_K50_ebpmf_wbg_K50_maxiter2000_pmf_bg_K50_maxiter10_from_truth_scaled1.Rds
    Untracked:  output/sim/v0.4.5/exper2/sim_bg_block_n1100_p2100_K50_ebpmf_wbg_K50_maxiter2500.Rds
    Untracked:  output/sim/v0.4.5/exper2/sim_bg_block_n1100_p2100_K50_ebpmf_wbg_K50_maxiter2500_pmf_bg_K50_maxiter1000_from_truth.Rds
    Untracked:  output/sim/v0.4.5/exper2/sim_bg_block_n1100_p2100_K50_ebpmf_wbg_K50_maxiter2500_pmf_bg_K50_maxiter10_from_truth_scaled0.Rds
    Untracked:  output/sim/v0.4.5/exper2/sim_bg_block_n1100_p2100_K50_ebpmf_wbg_K50_maxiter2500_pmf_bg_K50_maxiter10_from_truth_scaled1.Rds
    Untracked:  output/sim/v0.4.5/exper2/sim_bg_block_n1100_p2100_K50_ebpmf_wbg_K50_maxiter3000.Rds
    Untracked:  output/sim/v0.4.5/exper2/sim_bg_block_n1100_p2100_K50_ebpmf_wbg_K50_maxiter3000_from_truth.Rds
    Untracked:  output/sim/v0.4.5/exper2/sim_bg_block_n1100_p2100_K50_ebpmf_wbg_K50_maxiter3000_pmf_bg_K50_maxiter1000_from_truth.Rds
    Untracked:  output/sim/v0.4.5/exper2/sim_bg_block_n1100_p2100_K50_ebpmf_wbg_K50_maxiter3000_pmf_bg_K50_maxiter10_from_truth_scaled0.Rds
    Untracked:  output/sim/v0.4.5/exper2/sim_bg_block_n1100_p2100_K50_ebpmf_wbg_K50_maxiter3000_pmf_bg_K50_maxiter10_from_truth_scaled1.Rds
    Untracked:  output/sim/v0.4.5/exper2/sim_bg_block_n1100_p2100_K50_ebpmf_wbg_K50_maxiter300_from_truth.Rds
    Untracked:  output/sim/v0.4.5/exper2/sim_bg_block_n1100_p2100_K50_ebpmf_wbg_K50_maxiter3500.Rds
    Untracked:  output/sim/v0.4.5/exper2/sim_bg_block_n1100_p2100_K50_ebpmf_wbg_K50_maxiter3500_pmf_bg_K50_maxiter1000_from_truth.Rds
    Untracked:  output/sim/v0.4.5/exper2/sim_bg_block_n1100_p2100_K50_ebpmf_wbg_K50_maxiter3500_pmf_bg_K50_maxiter10_from_truth_scaled0.Rds
    Untracked:  output/sim/v0.4.5/exper2/sim_bg_block_n1100_p2100_K50_ebpmf_wbg_K50_maxiter3500_pmf_bg_K50_maxiter10_from_truth_scaled1.Rds
    Untracked:  output/sim/v0.4.5/exper2/sim_bg_block_n1100_p2100_K50_ebpmf_wbg_K50_maxiter4000.Rds
    Untracked:  output/sim/v0.4.5/exper2/sim_bg_block_n1100_p2100_K50_ebpmf_wbg_K50_maxiter4000_from_truth.Rds
    Untracked:  output/sim/v0.4.5/exper2/sim_bg_block_n1100_p2100_K50_ebpmf_wbg_K50_maxiter4000_pmf_bg_K50_maxiter1000_from_truth.Rds
    Untracked:  output/sim/v0.4.5/exper2/sim_bg_block_n1100_p2100_K50_ebpmf_wbg_K50_maxiter4000_pmf_bg_K50_maxiter10_from_truth_scaled0.Rds
    Untracked:  output/sim/v0.4.5/exper2/sim_bg_block_n1100_p2100_K50_ebpmf_wbg_K50_maxiter4000_pmf_bg_K50_maxiter10_from_truth_scaled1.Rds
    Untracked:  output/sim/v0.4.5/exper2/sim_bg_block_n1100_p2100_K50_ebpmf_wbg_K50_maxiter400_from_truth.Rds
    Untracked:  output/sim/v0.4.5/exper2/sim_bg_block_n1100_p2100_K50_ebpmf_wbg_K50_maxiter4500.Rds
    Untracked:  output/sim/v0.4.5/exper2/sim_bg_block_n1100_p2100_K50_ebpmf_wbg_K50_maxiter4500_pmf_bg_K50_maxiter1000_from_truth.Rds
    Untracked:  output/sim/v0.4.5/exper2/sim_bg_block_n1100_p2100_K50_ebpmf_wbg_K50_maxiter4500_pmf_bg_K50_maxiter10_from_truth_scaled0.Rds
    Untracked:  output/sim/v0.4.5/exper2/sim_bg_block_n1100_p2100_K50_ebpmf_wbg_K50_maxiter4500_pmf_bg_K50_maxiter10_from_truth_scaled1.Rds
    Untracked:  output/sim/v0.4.5/exper2/sim_bg_block_n1100_p2100_K50_ebpmf_wbg_K50_maxiter500.Rds
    Untracked:  output/sim/v0.4.5/exper2/sim_bg_block_n1100_p2100_K50_ebpmf_wbg_K50_maxiter5000_pmf_bg_K50_maxiter10_from_truth_scaled0.Rds
    Untracked:  output/sim/v0.4.5/exper2/sim_bg_block_n1100_p2100_K50_ebpmf_wbg_K50_maxiter5000_pmf_bg_K50_maxiter10_from_truth_scaled1.Rds
    Untracked:  output/sim/v0.4.5/exper2/sim_bg_block_n1100_p2100_K50_ebpmf_wbg_K50_maxiter5_pmf_bg_K50_maxiter1000_from_truth.Rds
    Untracked:  output/sim/v0.4.5/exper2/sim_bg_block_n1100_p2100_K50_pmf_K50_maxiter2000.Rds
    Untracked:  output/sim/v0.4.5/exper2/sim_bg_block_n1100_p2100_K50_pmf_K50_maxiter2000_from_truth.Rds
    Untracked:  output/sim/v0.4.5/exper2/sim_bg_block_n1100_p2100_K50_pmf_K50_maxiter3000.Rds
    Untracked:  output/sim/v0.4.5/exper2/sim_bg_block_n1100_p2100_K50_pmf_K50_maxiter3000_from_truth.Rds
    Untracked:  output/sim/v0.4.5/exper2/sim_bg_block_n1100_p2100_K50_pmf_K50_maxiter3_from_truth.Rds
    Untracked:  output/sim/v0.4.5/exper2/sim_bg_block_n1100_p2100_K50_pmf_K50_maxiter4000.Rds
    Untracked:  output/sim/v0.4.5/exper2/sim_bg_block_n1100_p2100_K50_pmf_K50_maxiter4000_from_truth.Rds
    Untracked:  output/sim/v0.4.5/exper2/sim_bg_block_n1100_p2100_K50_pmf_bg_K50_maxiter1500_from_truth.Rds
    Untracked:  output/sim/v0.4.5/exper2/sim_bg_block_n1100_p2100_K50_pmf_bg_K50_maxiter2000_from_truth.Rds
    Untracked:  output/sim/v0.4.5/exper2/sim_bg_block_n1100_p2100_K50_pmf_bg_K50_maxiter2500_from_truth.Rds
    Untracked:  output/sim/v0.4.5/exper2/sim_bg_block_n1100_p2100_K50_pmf_bg_K50_maxiter3000_from_truth.Rds
    Untracked:  output/sim/v0.4.5/exper2/sim_bg_block_n1100_p2100_K50_pmf_bg_K50_maxiter3500_from_truth.Rds
    Untracked:  output/sim/v0.4.5/exper2/sim_bg_block_n1100_p2100_K50_pmf_bg_K50_maxiter4000_from_truth.Rds
    Untracked:  output/sim/v0.4.5/exper2/sim_bg_block_n1100_p2100_K50_pmf_bg_K50_maxiter4500_from_truth.Rds
    Untracked:  output/sim/v0.4.5/exper2/sim_bg_block_n1100_p2100_K50_pmf_bg_K50_maxiter5000_from_truth.Rds
    Untracked:  output/sim/v0.4.5/exper3/fit_sim_bg_block_n1100_p2100_K50_ebpmf_wbg_maxiter_5000.Rout
    Untracked:  output/sim/v0.4.5/exper3/fit_sim_bg_block_n1100_p2100_K50_pmf_bg_maxiter_5000_from_truth.Rout
    Untracked:  output/sim/v0.4.5/exper3/sim_bg_block_n1100_p2100_K50_ebpmf_wbg_K50_maxiter10_init_random2.Rds
    Untracked:  output/sim/v0.4.5/exper3/sim_bg_block_n1100_p2100_K50_ebpmf_wbg_K50_maxiter20_init_random2.Rds
    Untracked:  output/sim/v0.4.5/exper3/sim_bg_block_n1100_p2100_K50_pmf_bg_K50_maxiter1000_from_truth.Rds
    Untracked:  output/sim/v0.4.5/exper3/sim_bg_block_n1100_p2100_K50_pmf_bg_K50_maxiter1500_from_truth.Rds
    Untracked:  output/sim/v0.4.5/exper3/sim_bg_block_n1100_p2100_K50_pmf_bg_K50_maxiter2000_from_truth.Rds
    Untracked:  output/sim/v0.4.5/exper3/sim_bg_block_n1100_p2100_K50_pmf_bg_K50_maxiter2500_from_truth.Rds
    Untracked:  output/sim/v0.4.5/exper3/sim_bg_block_n1100_p2100_K50_pmf_bg_K50_maxiter3000_from_truth.Rds
    Untracked:  output/sim/v0.4.5/exper3/sim_bg_block_n1100_p2100_K50_pmf_bg_K50_maxiter3500_from_truth.Rds
    Untracked:  output/sim/v0.4.5/exper3/sim_bg_block_n1100_p2100_K50_pmf_bg_K50_maxiter4000_from_truth.Rds
    Untracked:  output/sim/v0.4.5/exper3/sim_bg_block_n1100_p2100_K50_pmf_bg_K50_maxiter4500_from_truth.Rds
    Untracked:  output/sim/v0.4.5/exper3/sim_bg_block_n1100_p2100_K50_pmf_bg_K50_maxiter500_from_truth.Rds
    Untracked:  script/ConeFactor_kos_K20_2.R
    Untracked:  script/fit_kos_coneNMF_F.R
    Untracked:  script/fit_kos_coneNMF_F.sbatch
    Untracked:  script/fit_news_ebpmf_wbg.sbatch
    Untracked:  script/fit_news_ebpmf_wbg_initLF.R
    Untracked:  script/fit_news_pmf.sbatch
    Untracked:  script/fit_news_pmf_initLF.R
    Untracked:  script/fit_news_pmf_initialization.R
    Untracked:  script/fit_nips_ebpmf_wbg.sbatch
    Untracked:  script/fit_nips_ebpmf_wbg_initLF.R
    Untracked:  script/fit_nips_pmf.sbatch
    Untracked:  script/fit_nips_pmf_initLF.R
    Untracked:  script/fit_nips_pmf_initialization.R
    Untracked:  script/fit_sim_ebpmf_wbg2.sbatch
    Untracked:  script/fit_sim_pmf_bg_from_truth.R
    Untracked:  script/fit_sim_pmf_bg_from_truth.sbatch
    Untracked:  script/fit_sim_pmf_bg_from_truth_exper3.sbatch
    Untracked:  script/fit_sla_ebpmf_wbg2.sbatch
    Untracked:  script/fit_sla_ebpmf_wbg3.sbatch
    Untracked:  script/fit_sla_fastTopics.R
    Untracked:  script/fit_sla_fastTopics.sbatch
    Untracked:  script/fit_sla_pmf2.sbatch
    Untracked:  script/fit_sla_pmf3.sbatch
    Untracked:  script/fit_sla_sim_fastTopics.R
    Untracked:  script/fit_sla_sim_fastTopics.sbatch
    Untracked:  script/slurm-11737228.out
    Untracked:  script/slurm-11887001.out
    Untracked:  script/slurm-11887027.out
    Untracked:  script/slurm-11887032.out
    Untracked:  script/slurm-11887033.out
    Untracked:  script/slurm-11887035.out
    Untracked:  script/slurm-11887036.out
    Untracked:  script/slurm-11887037.out
    Untracked:  script/slurm-11887038.out
    Untracked:  script/slurm-11887039.out
    Untracked:  script/slurm-11887048.out
    Untracked:  script/slurm-11887049.out
    Untracked:  script/slurm-11887050.out
    Untracked:  script/slurm-11887052.out
    Untracked:  script/slurm-11887053.out
    Untracked:  script/slurm-11887054.out
    Untracked:  script/slurm-11887055.out
    Untracked:  script/slurm-11887056.out
    Untracked:  script/slurm-6601452.out
    Untracked:  script/slurm-6601659.out
    Untracked:  script/slurm-6601673.out
    Untracked:  script/slurm-6605028.out
    Untracked:  script/slurm-6605098.out
    Untracked:  script/slurm-6647194.out
    Untracked:  script/slurm-6647195.out
    Untracked:  script/smallsim2.R

Unstaged changes:
    Deleted:    data/sim/docword.sim_bg_block_n1100_p2100_K50.txt
    Deleted:    data/sim/init.sim_bg_block_n1100_p2100_K50.Rds
    Deleted:    data/sim/truth.sim_bg_block_n1100_p2100_K50.Rds
    Deleted:    output/sim/v0.4.5/fit_sim_bg_block_n1100_p2100_K50_ebpmf_wbg_maxiter_5000.Rout
    Deleted:    output/sim/v0.4.5/fit_sim_bg_block_n1100_p2100_K50_ebpmf_wbg_maxiter_5000_from_truth.Rout
    Deleted:    output/sim/v0.4.5/sim_bg_block_n1100_p2100_K50_ebpmf_wbg_K50_maxiter3.Rds
    Deleted:    output/sim/v0.4.5/sim_bg_block_n1100_p2100_K50_ebpmf_wbg_K50_maxiter5000.Rds
    Deleted:    output/sim/v0.4.5/sim_bg_block_n1100_p2100_K50_ebpmf_wbg_K50_maxiter5000_from_truth.Rds
    Deleted:    output/sim/v0.4.5/sim_bg_block_n1100_p2100_K50_ebpmf_wbg_K50_maxiter50_from_truth2.Rds
    Modified:   script/fit_kos_NMF_F.R
    Modified:   script/fit_sim_ebpmf_wbg.sbatch
    Modified:   script/fit_sim_ebpmf_wbg_from_pmf_bg.sbatch
    Modified:   script/fit_sim_ebpmf_wbg_from_pmf_bg2.sbatch

Note that any generated files, e.g. HTML, png, CSS, etc., are not included in this status report because it is ok for generated content to have uncommitted changes.


These are the previous versions of the repository in which changes were made to the R Markdown (analysis/prepare_sla_sim.Rmd) and HTML (docs/prepare_sla_sim.html) files. If you’ve configured a remote Git repository (see ?wflow_git_remote), click on the hyperlinks in the table below to view the files as they were in that past version.

File Version Author Date Message
Rmd 7cb1af3 Zihao 2021-06-24 prepare_sla_sim.Rmd

Introduction

Generate “simulated” from sla, by subsampling.

rm(list = ls())
knitr::opts_chunk$set(autodep = TRUE)
library(fastTopics)
source("code/misc.R")
source("code/util.R")
library(Matrix)
set.seed(123)
## X is n by p count matrix
## prob is the probability a word is samppled
## can speed up with sparse matrix
count_subsample <- function(X, prob = 0.5){
  n = nrow(X)
  p = ncol(X)
  Y_train <- matrix(rbinom(n = n*p, size = as.matrix(X), prob = prob), nrow = n)
  Y_test <- X - Y_train
  idx <- which(colSums(Y_train) > 0)
  return(list(Y_train = Y_train[,idx], Y_test = Y_test[,idx], w_idx = idx))
}
data = read_sla_bag_of_words("data/SLA/docword.sla.txt")

doc_len = rowSums(data)
dim(data)
[1] 3207 8770
data_sampled = count_subsample(data)
## fit on sub-sampled dataset
fit = fastTopics::fit_topic_model(X = as(data_sampled$Y_train, "sparseMatrix"), k = 6)
Initializing factors using Topic SCORE algorithm.
Initializing loadings by running 10 SCD updates.
Using 28 RcppParallel threads.
Using 28 RcppParallel threads.
Fitting rank-6 Poisson NMF to 3207 x 8030 sparse matrix.
Running 100 EM updates, without extrapolation (fastTopics 0.5-53).
Refining model fit.
Using 28 RcppParallel threads.
Fitting rank-6 Poisson NMF to 3207 x 8030 sparse matrix.
Running 100 SCD updates, with extrapolation (fastTopics 0.5-53).
## fit on full data (excluding some columns), as a comparison
fit2 = fastTopics::fit_topic_model(X = data[, data_sampled$w_idx],  k = 6)
Initializing factors using Topic SCORE algorithm.
Initializing loadings by running 10 SCD updates.
Using 28 RcppParallel threads.
Using 28 RcppParallel threads.
Fitting rank-6 Poisson NMF to 3207 x 8030 sparse matrix.
Running 100 EM updates, without extrapolation (fastTopics 0.5-53).
Refining model fit.
Using 28 RcppParallel threads.
Fitting rank-6 Poisson NMF to 3207 x 8030 sparse matrix.
Running 100 SCD updates, with extrapolation (fastTopics 0.5-53).

Here “truth” is the fit on the original dataset

truth = readRDS("output/fastTopics_fit/fit_sla_fastTopics_k6.Rds")
truth = fastTopics::multinom2poisson(truth)
truth = list(L = truth$L, F = truth$F[data_sampled$w_idx,])
class(truth) <- c("poisson_nmf_fit","list")
truth = fastTopics::poisson2multinom(truth)

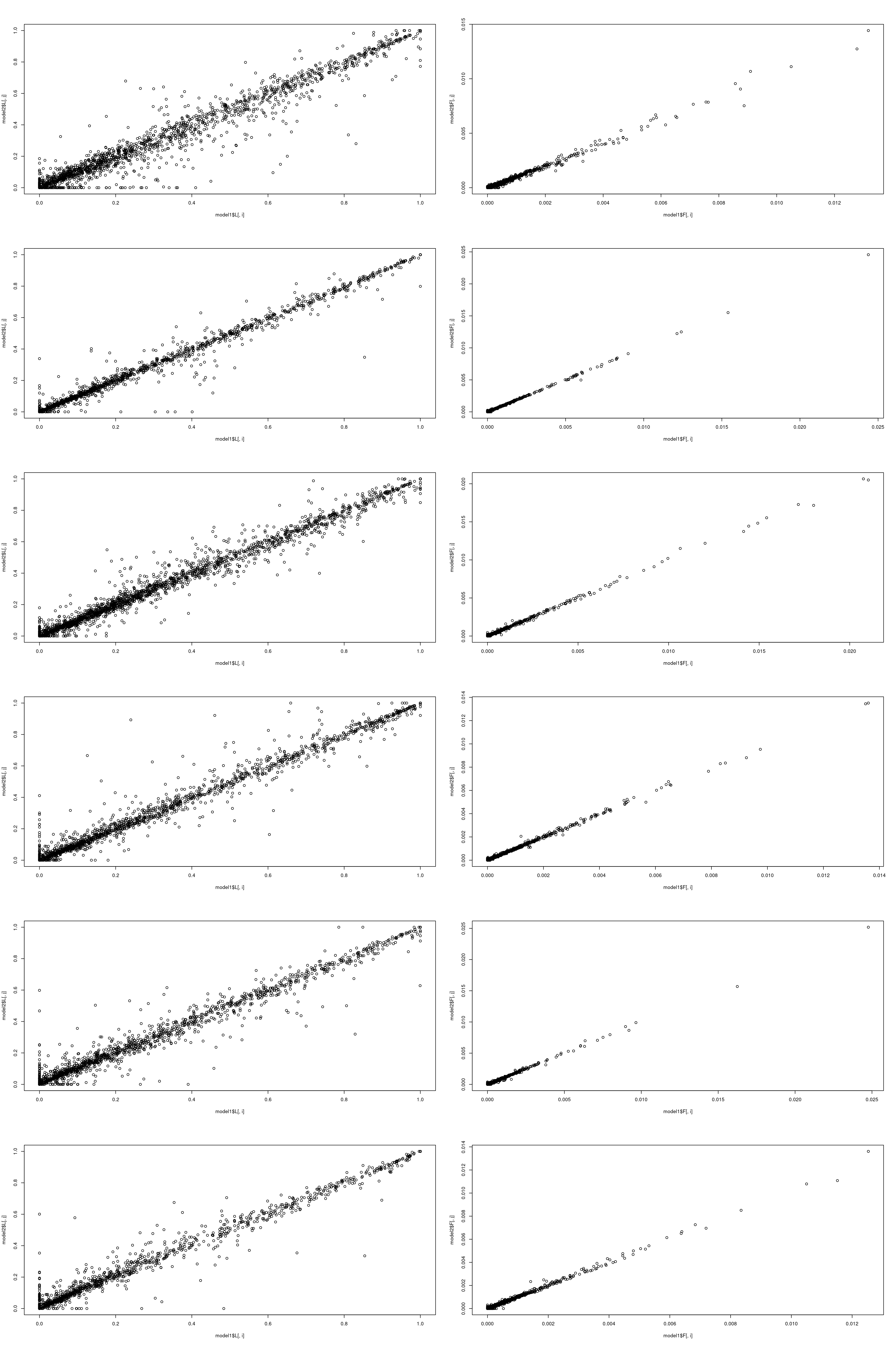
Compare “truth” vs fit on sub-sampled data

model1 = truth
model2 = fit
topic_idx = match_topics(model1$F, model2$F)
par(mfrow = c(6, 2))
for(i in 1:6){
  j = topic_idx[i]
  plot(model1$L[,i], model2$L[,j])
  plot(model1$F[,i], model2$F[,j])
}

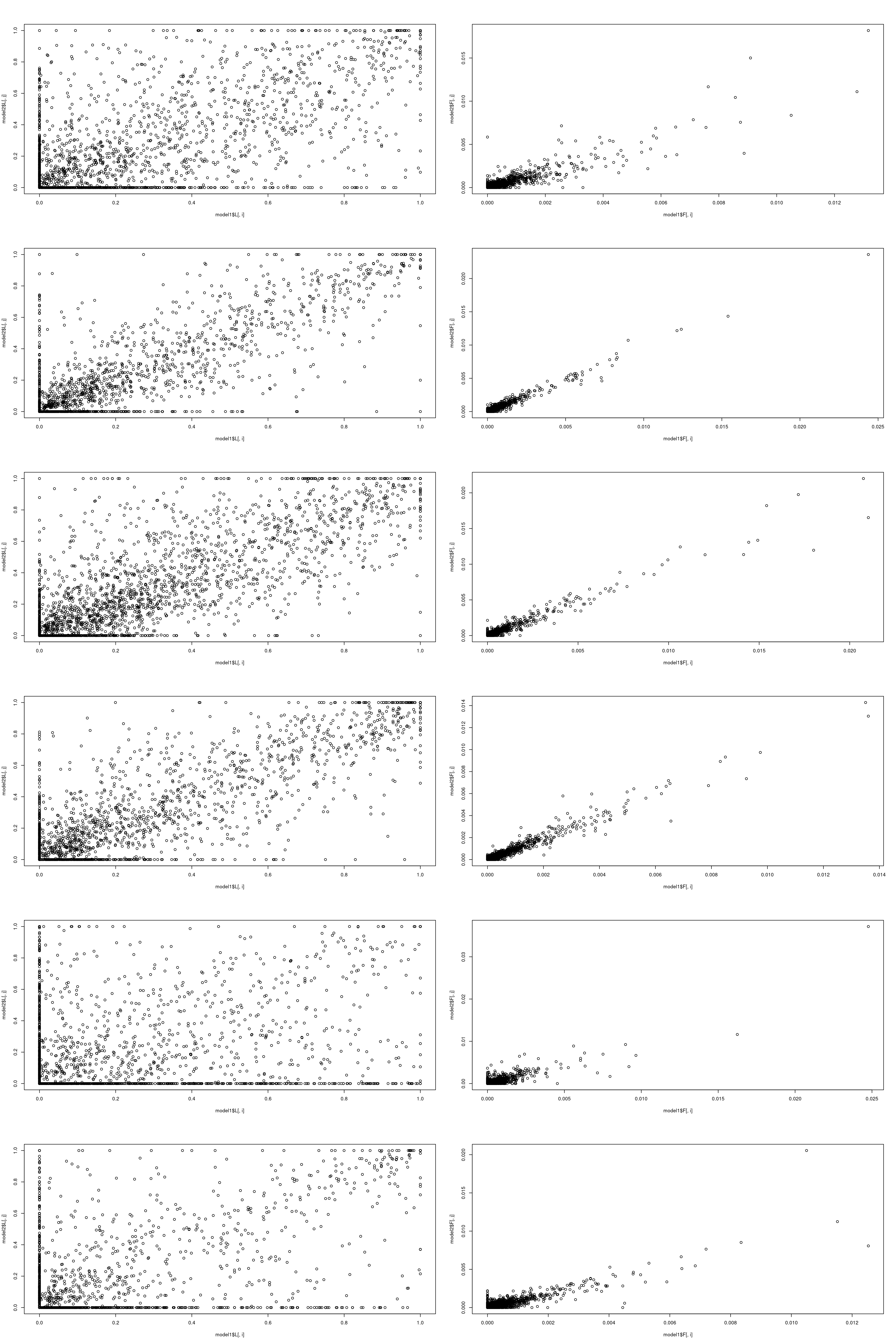
Compare “truth” vs fit on full data

model1 = truth
model2 = fit2
topic_idx = match_topics(model1$F, model2$F)
par(mfrow = c(6, 2))
for(i in 1:6){
  j = topic_idx[i]
  plot(model1$L[,i], model2$L[,j])
  plot(model1$F[,i], model2$F[,j])
}

saveRDS(data_sampled, "data/sim/sla_simulated.Rds")

sessionInfo()
R version 3.6.1 (2019-07-05)
Platform: x86_64-pc-linux-gnu (64-bit)
Running under: Scientific Linux 7.4 (Nitrogen)

Matrix products: default
BLAS/LAPACK: /software/openblas-0.2.19-el7-x86_64/lib/libopenblas_haswellp-r0.2.19.so

locale:
 [1] LC_CTYPE=en_US.UTF-8       LC_NUMERIC=C              
 [3] LC_TIME=en_US.UTF-8        LC_COLLATE=en_US.UTF-8    
 [5] LC_MONETARY=en_US.UTF-8    LC_MESSAGES=en_US.UTF-8   
 [7] LC_PAPER=en_US.UTF-8       LC_NAME=C                 
 [9] LC_ADDRESS=C               LC_TELEPHONE=C            
[11] LC_MEASUREMENT=en_US.UTF-8 LC_IDENTIFICATION=C       

attached base packages:
[1] stats     graphics  grDevices utils     datasets  methods   base     

other attached packages:
[1] Matrix_1.2-18     pheatmap_1.0.12   fastTopics_0.5-53 workflowr_1.6.2  

loaded via a namespace (and not attached):
 [1] ggrepel_0.9.1      Rcpp_1.0.5         invgamma_1.1      
 [4] lattice_0.20-38    tidyr_1.1.0        prettyunits_1.0.2 
 [7] assertthat_0.2.1   rprojroot_1.3-2    digest_0.6.20     
[10] truncnorm_1.0-8    R6_2.4.0           backports_1.1.4   
[13] MatrixModels_0.4-1 evaluate_0.14      coda_0.19-3       
[16] httr_1.4.1         ggplot2_3.3.3      pillar_1.4.2      
[19] rlang_0.4.10       progress_1.2.2     lazyeval_0.2.2    
[22] data.table_1.13.2  irlba_2.3.3        SparseM_1.77      
[25] whisker_0.3-2      rmarkdown_1.13     Rtsne_0.15        
[28] stringr_1.4.0      htmlwidgets_1.3    uwot_0.1.5        
[31] munsell_0.5.0      mixsqp_0.3-43      compiler_3.6.1    
[34] httpuv_1.5.1       xfun_0.8           pkgconfig_2.0.2   
[37] SQUAREM_2017.10-1  mcmc_0.9-6         htmltools_0.3.6   
[40] tidyselect_1.1.0   tibble_2.1.3       codetools_0.2-16  
[43] quadprog_1.5-7     viridisLite_0.3.0  crayon_1.3.4      
[46] dplyr_0.8.3        later_0.8.0        MASS_7.3-51.4     
[49] grid_3.6.1         jsonlite_1.6       gtable_0.3.0      
[52] lifecycle_0.1.0    git2r_0.26.1       magrittr_1.5      
[55] scales_1.1.0       RcppParallel_4.4.3 stringi_1.4.3     
[58] fs_1.3.1           promises_1.0.1     vctrs_0.3.1       
[61] cowplot_1.0.0      RColorBrewer_1.1-2 tools_3.6.1       
[64] glue_1.3.1         purrr_0.3.4        hms_0.5.3         
[67] yaml_2.2.0         colorspace_1.4-1   ashr_2.2-47       
[70] plotly_4.9.0       knitr_1.23         quantreg_5.41     
[73] MCMCpack_1.4-5