Last updated: 2021-06-10

Checks: 7 0

Knit directory: ebpmf_data_analysis/

This reproducible R Markdown analysis was created with workflowr (version 1.6.2). The Checks tab describes the reproducibility checks that were applied when the results were created. The Past versions tab lists the development history.


Great! Since the R Markdown file has been committed to the Git repository, you know the exact version of the code that produced these results.

Great job! The global environment was empty. Objects defined in the global environment can affect the analysis in your R Markdown file in unknown ways. For reproduciblity it’s best to always run the code in an empty environment.

The command set.seed(20200511) was run prior to running the code in the R Markdown file. Setting a seed ensures that any results that rely on randomness, e.g. subsampling or permutations, are reproducible.

Great job! Recording the operating system, R version, and package versions is critical for reproducibility.

Nice! There were no cached chunks for this analysis, so you can be confident that you successfully produced the results during this run.

Great job! Using relative paths to the files within your workflowr project makes it easier to run your code on other machines.

Great! You are using Git for version control. Tracking code development and connecting the code version to the results is critical for reproducibility.

The results in this page were generated with repository version 9085d85. See the Past versions tab to see a history of the changes made to the R Markdown and HTML files.

Note that you need to be careful to ensure that all relevant files for the analysis have been committed to Git prior to generating the results (you can use wflow_publish or wflow_git_commit). workflowr only checks the R Markdown file, but you know if there are other scripts or data files that it depends on. Below is the status of the Git repository when the results were generated:


Ignored files:
    Ignored:    .DS_Store
    Ignored:    .Rhistory
    Ignored:    .Rproj.user/
    Ignored:    analysis/ebpmf_bg_tutorial_cache/
    Ignored:    analysis/ebpmf_wbg_model_intro_cache/
    Ignored:    analysis/ebpmf_wbg_simulate_big_data2_cache/
    Ignored:    analysis/ebpmf_wbg_simulate_big_data3_cache/
    Ignored:    analysis/ebpmf_wbg_simulate_big_data_cache/
    Ignored:    analysis/ebpmf_wbg_simulation_cache/
    Ignored:    analysis/investigate_np_ebpmf_wbg_cache/
    Ignored:    analysis/pmf_greedy_experiment_cache/
    Ignored:    analysis/sla_data_analysis_k10_cache/
    Ignored:    data/.DS_Store
    Ignored:    output/.DS_Store
    Ignored:    output/News/.DS_Store
    Ignored:    topicView-app/.DS_Store

Untracked files:
    Untracked:  analysis/draft.Rmd
    Untracked:  analysis/draft2.Rmd
    Untracked:  analysis/ebpmf_wbg_simulate_correlated.Rmd
    Untracked:  analysis/ebpmf_wbg_simulation_big.Rmd
    Untracked:  analysis/ebpmf_wbg_simulation_big2_more.Rmd
    Untracked:  analysis/heatmap.Rmd
    Untracked:  analysis/investigate_largeK.Rmd
    Untracked:  analysis/investigate_news_topics.Rmd
    Untracked:  analysis/poissonmix_vs_pmf.Rmd
    Untracked:  analysis/simulate_data_bg.Rmd
    Untracked:  analysis/simulate_data_bg2.Rmd
    Untracked:  analysis/summary_sla_news_nips.Rmd
    Untracked:  analysis/test.R
    Untracked:  data/cell_data.csv
    Untracked:  data/sim/init_random.sim_bg_block_n1100_p2100_K50.Rds
    Untracked:  data/sim/simulated_data_small.RData
    Untracked:  data/sim/simulated_data_small2.RData
    Untracked:  output/poissonmix_vs_pmf.RDS
    Untracked:  output/poissonmix_vs_pmf.RData
    Untracked:  output/sim/v0.4.5/exper2/init_random.sim_bg_block_n1100_p2100_K50.Rds
    Untracked:  output/sim/v0.4.5/exper2/sim_bg_block_n1100_p2100_K50_ebpmf_wbg_K50_maxiter100_init_random.Rds
    Untracked:  output/sim/v0.4.5/exper2/sim_bg_block_n1100_p2100_K50_ebpmf_wbg_K50_maxiter10_from_truth.Rds
    Untracked:  output/sim/v0.4.5/exper2/sim_bg_block_n1100_p2100_K50_ebpmf_wbg_K50_maxiter10_init_random.Rds
    Untracked:  output/sim/v0.4.5/exper2/sim_bg_block_n1100_p2100_K50_ebpmf_wbg_K50_maxiter10_init_random2.Rds
    Untracked:  output/sim/v0.4.5/exper2/sim_bg_block_n1100_p2100_K50_ebpmf_wbg_K50_maxiter10_pmf_bg_K50_maxiter10_from_truth_scaled.Rds
    Untracked:  output/sim/v0.4.5/exper2/sim_bg_block_n1100_p2100_K50_ebpmf_wbg_K50_maxiter10_pmf_bg_K50_maxiter10_from_truth_scaled0.Rds
    Untracked:  output/sim/v0.4.5/exper2/sim_bg_block_n1100_p2100_K50_ebpmf_wbg_K50_maxiter10_pmf_bg_K50_maxiter10_from_truth_scaled1.Rds
    Untracked:  output/sim/v0.4.5/exper2/sim_bg_block_n1100_p2100_K50_ebpmf_wbg_K50_maxiter1_from_truth.Rds
    Untracked:  output/sim/v0.4.5/exper2/sim_bg_block_n1100_p2100_K50_ebpmf_wbg_K50_maxiter20_init_random.Rds
    Untracked:  output/sim/v0.4.5/exper2/sim_bg_block_n1100_p2100_K50_ebpmf_wbg_K50_maxiter2_from_truth.Rds
    Untracked:  output/sim/v0.4.5/exper2/sim_bg_block_n1100_p2100_K50_ebpmf_wbg_K50_maxiter30_init_random.Rds
    Untracked:  output/sim/v0.4.5/exper2/sim_bg_block_n1100_p2100_K50_ebpmf_wbg_K50_maxiter3_from_truth.Rds
    Untracked:  output/sim/v0.4.5/exper2/sim_bg_block_n1100_p2100_K50_ebpmf_wbg_K50_maxiter40_init_random.Rds
    Untracked:  output/sim/v0.4.5/exper2/sim_bg_block_n1100_p2100_K50_ebpmf_wbg_K50_maxiter4_from_truth.Rds
    Untracked:  output/sim/v0.4.5/exper2/sim_bg_block_n1100_p2100_K50_ebpmf_wbg_K50_maxiter50_init_random.Rds
    Untracked:  output/sim/v0.4.5/exper2/sim_bg_block_n1100_p2100_K50_ebpmf_wbg_K50_maxiter5_from_truth.Rds
    Untracked:  output/sim/v0.4.5/exper2/sim_bg_block_n1100_p2100_K50_ebpmf_wbg_K50_maxiter5_pmf_bg_K50_maxiter10_from_truth_scaled.Rds
    Untracked:  output/sim/v0.4.5/exper2/sim_bg_block_n1100_p2100_K50_ebpmf_wbg_K50_maxiter5_pmf_bg_K50_maxiter10_from_truth_scaled0.Rds
    Untracked:  output/sim/v0.4.5/exper2/sim_bg_block_n1100_p2100_K50_ebpmf_wbg_K50_maxiter5_pmf_bg_K50_maxiter10_from_truth_scaled1.Rds
    Untracked:  output/sim/v0.4.5/exper2/sim_bg_block_n1100_p2100_K50_ebpmf_wbg_K50_maxiter60_init_random.Rds
    Untracked:  output/sim/v0.4.5/exper2/sim_bg_block_n1100_p2100_K50_ebpmf_wbg_K50_maxiter6_from_truth.Rds
    Untracked:  output/sim/v0.4.5/exper2/sim_bg_block_n1100_p2100_K50_ebpmf_wbg_K50_maxiter70_init_random.Rds
    Untracked:  output/sim/v0.4.5/exper2/sim_bg_block_n1100_p2100_K50_ebpmf_wbg_K50_maxiter7_from_truth.Rds
    Untracked:  output/sim/v0.4.5/exper2/sim_bg_block_n1100_p2100_K50_ebpmf_wbg_K50_maxiter80_init_random.Rds
    Untracked:  output/sim/v0.4.5/exper2/sim_bg_block_n1100_p2100_K50_ebpmf_wbg_K50_maxiter8_from_truth.Rds
    Untracked:  output/sim/v0.4.5/exper2/sim_bg_block_n1100_p2100_K50_ebpmf_wbg_K50_maxiter90_init_random.Rds
    Untracked:  output/sim/v0.4.5/exper2/sim_bg_block_n1100_p2100_K50_ebpmf_wbg_K50_maxiter9_from_truth.Rds
    Untracked:  output/sim/v0.4.5/exper2/sim_bg_block_n1100_p2100_K50_fastTopics_K50_50em_950_scd.Rds
    Untracked:  output/smallsim2_1.RData
    Untracked:  script/Rplots.pdf
    Untracked:  script/init_ebpmf_wbg_from_pmf_bg.R
    Untracked:  script/init_ebpmf_wbg_random.R
    Untracked:  script/save_volcano_plot.R
    Untracked:  topicView-app/app_utils.R
    Untracked:  topicView-app/data/
    Untracked:  topicView-app/output/
    Untracked:  topicView-app/rsconnect/

Unstaged changes:
    Modified:   analysis/ebpmf_wbg_simulate_big_data2.Rmd
    Deleted:    analysis/sla_data_analysis_k10.Rmd
    Deleted:    analysis/sla_data_analysis_k5.Rmd
    Deleted:    analysis/sla_data_analysis_k50.Rmd
    Deleted:    data/SLA/SCC2016/Code/APL/compCM.m
    Deleted:    data/SLA/SCC2016/Code/APL/compMuI.m
    Deleted:    data/SLA/SCC2016/Code/APL/compParamErr2.m
    Deleted:    data/SLA/SCC2016/Code/APL/cpl4c.m
    Deleted:    data/SLA/SCC2016/Code/APL/cplEstimParam.m
    Deleted:    data/SLA/SCC2016/Code/APL/cpl_basic_demo_PJ.m
    Deleted:    data/SLA/SCC2016/Code/APL/cpl_demo.m
    Deleted:    data/SLA/SCC2016/Code/APL/cpl_demo2a.m
    Deleted:    data/SLA/SCC2016/Code/APL/dcBlkMod.m
    Deleted:    data/SLA/SCC2016/Code/APL/dcBlkMod2.m
    Deleted:    data/SLA/SCC2016/Code/APL/dcBlkMod3.m
    Deleted:    data/SLA/SCC2016/Code/APL/dcbm_nmi_beta_D.m
    Deleted:    data/SLA/SCC2016/Code/APL/dcbm_nmi_lambda_D.m
    Deleted:    data/SLA/SCC2016/Code/APL/dcbm_time_vs_n_D.m
    Deleted:    data/SLA/SCC2016/Code/APL/genDCBlkMod.c
    Deleted:    data/SLA/SCC2016/Code/APL/genDCBlkMod.mexa64
    Deleted:    data/SLA/SCC2016/Code/APL/genDCBlkMod2.m
    Deleted:    data/SLA/SCC2016/Code/APL/initLabel5b.m
    Deleted:    data/SLA/SCC2016/Code/BCPL/ProfileLike.m
    Deleted:    data/SLA/SCC2016/Code/BCPL/calCri1.m
    Deleted:    data/SLA/SCC2016/Code/BCPL/calCri2.m
    Deleted:    data/SLA/SCC2016/Code/BCPL/mutiExp.m
    Deleted:    data/SLA/SCC2016/Code/MatlabCode.m
    Deleted:    data/SLA/SCC2016/Code/NewmanSM/NewmanSM.m
    Deleted:    data/SLA/SCC2016/Code/coauthorThresh2GiantAdj.txt
    Deleted:    data/SLA/SCC2016/Code/coauthorThresh2GiantCommLabelK2Matlab.txt
    Deleted:    data/SLA/SCC2016/Code/functions.R
    Deleted:    data/SLA/SCC2016/Code/main.R
    Deleted:    data/SLA/SCC2016/Data/authorList.txt
    Deleted:    data/SLA/SCC2016/Data/authorPaperBiadj.txt
    Deleted:    data/SLA/SCC2016/Data/paperCitAdj.txt
    Deleted:    data/SLA/SCC2016/Data/paperList.txt
    Deleted:    data/SLA/SCC2016/ReadMe.txt
    Modified:   data/sim/docword.sim_bg_block_n1100_p2100_K50.txt
    Deleted:    data/sim/init.sim_bg_block_n1100_p2100_K50.Rds
    Modified:   data/sim/truth.sim_bg_block_n1100_p2100_K50.Rds
    Deleted:    data/uci_BoW.sh
    Deleted:    data/uci_BoW/docword.kos.txt
    Deleted:    data/uci_BoW/readme.txt
    Deleted:    data/uci_BoW/vocab.kos.txt
    Deleted:    output/sim/v0.4.5/fit_sim_bg_block_n1100_p2100_K50_ebpmf_wbg_maxiter_5000.Rout
    Deleted:    output/sim/v0.4.5/fit_sim_bg_block_n1100_p2100_K50_ebpmf_wbg_maxiter_5000_from_truth.Rout
    Deleted:    output/sim/v0.4.5/sim_bg_block_n1100_p2100_K50_ebpmf_wbg_K50_maxiter3.Rds
    Deleted:    output/sim/v0.4.5/sim_bg_block_n1100_p2100_K50_ebpmf_wbg_K50_maxiter5000.Rds
    Deleted:    output/sim/v0.4.5/sim_bg_block_n1100_p2100_K50_ebpmf_wbg_K50_maxiter5000_from_truth.Rds
    Deleted:    output/sim/v0.4.5/sim_bg_block_n1100_p2100_K50_ebpmf_wbg_K50_maxiter50_from_truth2.Rds
    Deleted:    output/uci_BoW/v0.3.8/fit_kos_ebpmf_bg_K20_maxiter_1000.Rout
    Deleted:    output/uci_BoW/v0.3.8/fit_kos_ebpmf_bg_K20_maxiter_500.Rout
    Deleted:    output/uci_BoW/v0.3.8/fit_kos_ebpmf_bg_K20_maxiter_5000.Rout
    Deleted:    output/uci_BoW/v0.3.8/kos_ebpmf_bg_K20_maxiter1000.Rds
    Deleted:    output/uci_BoW/v0.3.8/kos_ebpmf_bg_K20_maxiter500.Rds
    Deleted:    output/uci_BoW/v0.3.8/kos_ebpmf_bg_K20_maxiter5000.Rds
    Deleted:    output/uci_BoW/v0.3.8/kos_ebpmf_bg_K2_maxiter10.Rds
    Deleted:    output/uci_BoW/v0.3.9/fit_kos_ebpmf_bg_K100_maxiter_5000.Rout
    Deleted:    output/uci_BoW/v0.3.9/fit_kos_ebpmf_bg_K20_maxiter_5000.Rout
    Deleted:    output/uci_BoW/v0.3.9/fit_kos_ebpmf_bg_K50_maxiter_5000.Rout
    Deleted:    output/uci_BoW/v0.3.9/fit_kos_ebpmf_bg_initLF_K100_maxiter_5000.Rout
    Deleted:    output/uci_BoW/v0.3.9/fit_kos_ebpmf_bg_initLF_K20_maxiter_5000.Rout
    Deleted:    output/uci_BoW/v0.3.9/fit_kos_ebpmf_bg_initLF_K300_maxiter_1000.Rout
    Deleted:    output/uci_BoW/v0.3.9/fit_kos_ebpmf_bg_initLF_K500_maxiter_1000.Rout
    Deleted:    output/uci_BoW/v0.3.9/fit_kos_ebpmf_bg_initLF_K50_maxiter_5000.Rout
    Deleted:    output/uci_BoW/v0.3.9/fit_kos_pmf_initLF_K100_maxiter_5000.Rout
    Deleted:    output/uci_BoW/v0.3.9/fit_kos_pmf_initLF_K20_maxiter_5000.Rout
    Deleted:    output/uci_BoW/v0.3.9/fit_kos_pmf_initLF_K300_maxiter_1000.Rout
    Deleted:    output/uci_BoW/v0.3.9/fit_kos_pmf_initLF_K500_maxiter_5000.Rout
    Deleted:    output/uci_BoW/v0.3.9/fit_kos_pmf_initLF_K50_maxiter_5000.Rout
    Deleted:    output/uci_BoW/v0.3.9/kos_ebpmf_bg_K100_maxiter1000.Rds
    Deleted:    output/uci_BoW/v0.3.9/kos_ebpmf_bg_K100_maxiter1500.Rds
    Deleted:    output/uci_BoW/v0.3.9/kos_ebpmf_bg_K100_maxiter2000.Rds
    Deleted:    output/uci_BoW/v0.3.9/kos_ebpmf_bg_K100_maxiter500.Rds
    Deleted:    output/uci_BoW/v0.3.9/kos_ebpmf_bg_K20_maxiter1000.Rds
    Deleted:    output/uci_BoW/v0.3.9/kos_ebpmf_bg_K20_maxiter1500.Rds
    Deleted:    output/uci_BoW/v0.3.9/kos_ebpmf_bg_K20_maxiter2000.Rds
    Deleted:    output/uci_BoW/v0.3.9/kos_ebpmf_bg_K20_maxiter2500.Rds
    Deleted:    output/uci_BoW/v0.3.9/kos_ebpmf_bg_K20_maxiter3000.Rds
    Deleted:    output/uci_BoW/v0.3.9/kos_ebpmf_bg_K20_maxiter3500.Rds
    Deleted:    output/uci_BoW/v0.3.9/kos_ebpmf_bg_K20_maxiter4000.Rds
    Deleted:    output/uci_BoW/v0.3.9/kos_ebpmf_bg_K20_maxiter4500.Rds
    Deleted:    output/uci_BoW/v0.3.9/kos_ebpmf_bg_K20_maxiter500.Rds
    Deleted:    output/uci_BoW/v0.3.9/kos_ebpmf_bg_K20_maxiter5000.Rds
    Deleted:    output/uci_BoW/v0.3.9/kos_ebpmf_bg_K50_maxiter1000.Rds
    Deleted:    output/uci_BoW/v0.3.9/kos_ebpmf_bg_K50_maxiter1500.Rds
    Deleted:    output/uci_BoW/v0.3.9/kos_ebpmf_bg_K50_maxiter2000.Rds
    Deleted:    output/uci_BoW/v0.3.9/kos_ebpmf_bg_K50_maxiter2500.Rds
    Deleted:    output/uci_BoW/v0.3.9/kos_ebpmf_bg_K50_maxiter3000.Rds
    Deleted:    output/uci_BoW/v0.3.9/kos_ebpmf_bg_K50_maxiter3500.Rds
    Deleted:    output/uci_BoW/v0.3.9/kos_ebpmf_bg_K50_maxiter4000.Rds
    Deleted:    output/uci_BoW/v0.3.9/kos_ebpmf_bg_K50_maxiter4500.Rds
    Deleted:    output/uci_BoW/v0.3.9/kos_ebpmf_bg_K50_maxiter500.Rds
    Deleted:    output/uci_BoW/v0.3.9/kos_ebpmf_bg_initLF50_K100_maxiter1000.Rds
    Deleted:    output/uci_BoW/v0.3.9/kos_ebpmf_bg_initLF50_K100_maxiter1500.Rds
    Deleted:    output/uci_BoW/v0.3.9/kos_ebpmf_bg_initLF50_K100_maxiter2000.Rds
    Deleted:    output/uci_BoW/v0.3.9/kos_ebpmf_bg_initLF50_K100_maxiter2500.Rds
    Deleted:    output/uci_BoW/v0.3.9/kos_ebpmf_bg_initLF50_K100_maxiter500.Rds
    Deleted:    output/uci_BoW/v0.3.9/kos_ebpmf_bg_initLF50_K20_maxiter10.Rds
    Deleted:    output/uci_BoW/v0.3.9/kos_ebpmf_bg_initLF50_K20_maxiter1000.Rds
    Deleted:    output/uci_BoW/v0.3.9/kos_ebpmf_bg_initLF50_K20_maxiter1500.Rds
    Deleted:    output/uci_BoW/v0.3.9/kos_ebpmf_bg_initLF50_K20_maxiter2000.Rds
    Deleted:    output/uci_BoW/v0.3.9/kos_ebpmf_bg_initLF50_K20_maxiter2500.Rds
    Deleted:    output/uci_BoW/v0.3.9/kos_ebpmf_bg_initLF50_K20_maxiter3000.Rds
    Deleted:    output/uci_BoW/v0.3.9/kos_ebpmf_bg_initLF50_K20_maxiter3500.Rds
    Deleted:    output/uci_BoW/v0.3.9/kos_ebpmf_bg_initLF50_K20_maxiter4000.Rds
    Deleted:    output/uci_BoW/v0.3.9/kos_ebpmf_bg_initLF50_K20_maxiter4500.Rds
    Deleted:    output/uci_BoW/v0.3.9/kos_ebpmf_bg_initLF50_K20_maxiter5.Rds
    Deleted:    output/uci_BoW/v0.3.9/kos_ebpmf_bg_initLF50_K20_maxiter500.Rds
    Deleted:    output/uci_BoW/v0.3.9/kos_ebpmf_bg_initLF50_K20_maxiter5000.Rds
    Deleted:    output/uci_BoW/v0.3.9/kos_ebpmf_bg_initLF50_K300_maxiter100.Rds
    Deleted:    output/uci_BoW/v0.3.9/kos_ebpmf_bg_initLF50_K300_maxiter1000.Rds
    Deleted:    output/uci_BoW/v0.3.9/kos_ebpmf_bg_initLF50_K300_maxiter200.Rds
    Deleted:    output/uci_BoW/v0.3.9/kos_ebpmf_bg_initLF50_K300_maxiter300.Rds
    Deleted:    output/uci_BoW/v0.3.9/kos_ebpmf_bg_initLF50_K300_maxiter400.Rds
    Deleted:    output/uci_BoW/v0.3.9/kos_ebpmf_bg_initLF50_K300_maxiter500.Rds
    Deleted:    output/uci_BoW/v0.3.9/kos_ebpmf_bg_initLF50_K300_maxiter600.Rds
    Deleted:    output/uci_BoW/v0.3.9/kos_ebpmf_bg_initLF50_K300_maxiter700.Rds
    Deleted:    output/uci_BoW/v0.3.9/kos_ebpmf_bg_initLF50_K300_maxiter800.Rds
    Deleted:    output/uci_BoW/v0.3.9/kos_ebpmf_bg_initLF50_K300_maxiter900.Rds
    Deleted:    output/uci_BoW/v0.3.9/kos_ebpmf_bg_initLF50_K50_maxiter1000.Rds
    Deleted:    output/uci_BoW/v0.3.9/kos_ebpmf_bg_initLF50_K50_maxiter1500.Rds
    Deleted:    output/uci_BoW/v0.3.9/kos_ebpmf_bg_initLF50_K50_maxiter2000.Rds
    Deleted:    output/uci_BoW/v0.3.9/kos_ebpmf_bg_initLF50_K50_maxiter2500.Rds
    Deleted:    output/uci_BoW/v0.3.9/kos_ebpmf_bg_initLF50_K50_maxiter3000.Rds
    Deleted:    output/uci_BoW/v0.3.9/kos_ebpmf_bg_initLF50_K50_maxiter3500.Rds
    Deleted:    output/uci_BoW/v0.3.9/kos_ebpmf_bg_initLF50_K50_maxiter4000.Rds
    Deleted:    output/uci_BoW/v0.3.9/kos_ebpmf_bg_initLF50_K50_maxiter4500.Rds
    Deleted:    output/uci_BoW/v0.3.9/kos_ebpmf_bg_initLF50_K50_maxiter500.Rds
    Deleted:    output/uci_BoW/v0.3.9/kos_ebpmf_bg_initLF50_K50_maxiter5000.Rds
    Deleted:    output/uci_BoW/v0.3.9/kos_init_nmf_K100_iter50.Rds
    Deleted:    output/uci_BoW/v0.3.9/kos_init_nmf_K20_iter50.Rds
    Deleted:    output/uci_BoW/v0.3.9/kos_init_nmf_K300_iter50.Rds
    Deleted:    output/uci_BoW/v0.3.9/kos_init_nmf_K500_iter50.Rds
    Deleted:    output/uci_BoW/v0.3.9/kos_init_nmf_K50_iter50.Rds
    Deleted:    output/uci_BoW/v0.3.9/kos_pmf_initLF50_K100_maxiter1000.Rds
    Deleted:    output/uci_BoW/v0.3.9/kos_pmf_initLF50_K100_maxiter1500.Rds
    Deleted:    output/uci_BoW/v0.3.9/kos_pmf_initLF50_K100_maxiter2000.Rds
    Deleted:    output/uci_BoW/v0.3.9/kos_pmf_initLF50_K100_maxiter2500.Rds
    Deleted:    output/uci_BoW/v0.3.9/kos_pmf_initLF50_K100_maxiter3000.Rds
    Deleted:    output/uci_BoW/v0.3.9/kos_pmf_initLF50_K100_maxiter3500.Rds
    Deleted:    output/uci_BoW/v0.3.9/kos_pmf_initLF50_K100_maxiter4000.Rds
    Deleted:    output/uci_BoW/v0.3.9/kos_pmf_initLF50_K100_maxiter4500.Rds
    Deleted:    output/uci_BoW/v0.3.9/kos_pmf_initLF50_K100_maxiter500.Rds
    Deleted:    output/uci_BoW/v0.3.9/kos_pmf_initLF50_K100_maxiter5000.Rds
    Deleted:    output/uci_BoW/v0.3.9/kos_pmf_initLF50_K20_maxiter10.Rds
    Deleted:    output/uci_BoW/v0.3.9/kos_pmf_initLF50_K20_maxiter1000.Rds
    Deleted:    output/uci_BoW/v0.3.9/kos_pmf_initLF50_K20_maxiter1500.Rds
    Deleted:    output/uci_BoW/v0.3.9/kos_pmf_initLF50_K20_maxiter2000.Rds
    Deleted:    output/uci_BoW/v0.3.9/kos_pmf_initLF50_K20_maxiter2500.Rds
    Deleted:    output/uci_BoW/v0.3.9/kos_pmf_initLF50_K20_maxiter3000.Rds
    Deleted:    output/uci_BoW/v0.3.9/kos_pmf_initLF50_K20_maxiter3500.Rds
    Deleted:    output/uci_BoW/v0.3.9/kos_pmf_initLF50_K20_maxiter4000.Rds
    Deleted:    output/uci_BoW/v0.3.9/kos_pmf_initLF50_K20_maxiter4500.Rds
    Deleted:    output/uci_BoW/v0.3.9/kos_pmf_initLF50_K20_maxiter5.Rds
    Deleted:    output/uci_BoW/v0.3.9/kos_pmf_initLF50_K20_maxiter500.Rds
    Deleted:    output/uci_BoW/v0.3.9/kos_pmf_initLF50_K20_maxiter5000.Rds
    Deleted:    output/uci_BoW/v0.3.9/kos_pmf_initLF50_K300_maxiter100.Rds
    Deleted:    output/uci_BoW/v0.3.9/kos_pmf_initLF50_K300_maxiter1000.Rds
    Deleted:    output/uci_BoW/v0.3.9/kos_pmf_initLF50_K300_maxiter200.Rds
    Deleted:    output/uci_BoW/v0.3.9/kos_pmf_initLF50_K300_maxiter300.Rds
    Deleted:    output/uci_BoW/v0.3.9/kos_pmf_initLF50_K300_maxiter400.Rds
    Deleted:    output/uci_BoW/v0.3.9/kos_pmf_initLF50_K300_maxiter500.Rds
    Deleted:    output/uci_BoW/v0.3.9/kos_pmf_initLF50_K300_maxiter600.Rds
    Deleted:    output/uci_BoW/v0.3.9/kos_pmf_initLF50_K300_maxiter700.Rds
    Deleted:    output/uci_BoW/v0.3.9/kos_pmf_initLF50_K300_maxiter800.Rds
    Deleted:    output/uci_BoW/v0.3.9/kos_pmf_initLF50_K300_maxiter900.Rds
    Deleted:    output/uci_BoW/v0.3.9/kos_pmf_initLF50_K50_maxiter1000.Rds
    Deleted:    output/uci_BoW/v0.3.9/kos_pmf_initLF50_K50_maxiter1500.Rds
    Deleted:    output/uci_BoW/v0.3.9/kos_pmf_initLF50_K50_maxiter2000.Rds
    Deleted:    output/uci_BoW/v0.3.9/kos_pmf_initLF50_K50_maxiter2500.Rds
    Deleted:    output/uci_BoW/v0.3.9/kos_pmf_initLF50_K50_maxiter3000.Rds
    Deleted:    output/uci_BoW/v0.3.9/kos_pmf_initLF50_K50_maxiter3500.Rds
    Deleted:    output/uci_BoW/v0.3.9/kos_pmf_initLF50_K50_maxiter4000.Rds
    Deleted:    output/uci_BoW/v0.3.9/kos_pmf_initLF50_K50_maxiter4500.Rds
    Deleted:    output/uci_BoW/v0.3.9/kos_pmf_initLF50_K50_maxiter500.Rds
    Deleted:    output/uci_BoW/v0.3.9/kos_pmf_initLF50_K50_maxiter5000.Rds
    Deleted:    output/uci_BoW/v0.4.2/fit_kos_ebpmf_wbg_initLF_K100_maxiter_5000.Rout
    Deleted:    output/uci_BoW/v0.4.2/fit_kos_ebpmf_wbg_initLF_K20_maxiter_5000.Rout
    Deleted:    output/uci_BoW/v0.4.2/fit_kos_ebpmf_wbg_initLF_K50_maxiter_5000.Rout
    Deleted:    output/uci_BoW/v0.4.2/fit_kos_ebpmf_wbg_initL_K100_maxiter_5000.Rout
    Deleted:    output/uci_BoW/v0.4.2/fit_kos_ebpmf_wbg_initL_K20_maxiter_5000.Rout
    Deleted:    output/uci_BoW/v0.4.2/fit_kos_ebpmf_wbg_initL_K50_maxiter_5000.Rout
    Deleted:    output/uci_BoW/v0.4.2/kos_ebpmf_wbg_initL50_K20_maxiter10.Rds
    Deleted:    output/uci_BoW/v0.4.2/kos_ebpmf_wbg_initL50_K20_maxiter1000.Rds
    Deleted:    output/uci_BoW/v0.4.2/kos_ebpmf_wbg_initL50_K20_maxiter1500.Rds
    Deleted:    output/uci_BoW/v0.4.2/kos_ebpmf_wbg_initL50_K20_maxiter2000.Rds
    Deleted:    output/uci_BoW/v0.4.2/kos_ebpmf_wbg_initL50_K20_maxiter2500.Rds
    Deleted:    output/uci_BoW/v0.4.2/kos_ebpmf_wbg_initL50_K20_maxiter3000.Rds
    Deleted:    output/uci_BoW/v0.4.2/kos_ebpmf_wbg_initL50_K20_maxiter3500.Rds
    Deleted:    output/uci_BoW/v0.4.2/kos_ebpmf_wbg_initL50_K20_maxiter4000.Rds
    Deleted:    output/uci_BoW/v0.4.2/kos_ebpmf_wbg_initL50_K20_maxiter4500.Rds
    Deleted:    output/uci_BoW/v0.4.2/kos_ebpmf_wbg_initL50_K20_maxiter500.Rds
    Deleted:    output/uci_BoW/v0.4.2/kos_ebpmf_wbg_initL50_K20_maxiter5000.Rds
    Deleted:    output/uci_BoW/v0.4.2/kos_ebpmf_wbg_initL50_K50_maxiter1000.Rds
    Deleted:    output/uci_BoW/v0.4.2/kos_ebpmf_wbg_initL50_K50_maxiter1500.Rds
    Deleted:    output/uci_BoW/v0.4.2/kos_ebpmf_wbg_initL50_K50_maxiter2000.Rds
    Deleted:    output/uci_BoW/v0.4.2/kos_ebpmf_wbg_initL50_K50_maxiter2500.Rds
    Deleted:    output/uci_BoW/v0.4.2/kos_ebpmf_wbg_initL50_K50_maxiter3000.Rds
    Deleted:    output/uci_BoW/v0.4.2/kos_ebpmf_wbg_initL50_K50_maxiter3500.Rds
    Deleted:    output/uci_BoW/v0.4.2/kos_ebpmf_wbg_initL50_K50_maxiter4000.Rds
    Deleted:    output/uci_BoW/v0.4.2/kos_ebpmf_wbg_initL50_K50_maxiter4500.Rds
    Deleted:    output/uci_BoW/v0.4.2/kos_ebpmf_wbg_initL50_K50_maxiter500.Rds
    Deleted:    output/uci_BoW/v0.4.2/kos_ebpmf_wbg_initL50_K50_maxiter5000.Rds
    Deleted:    output/uci_BoW/v0.4.2/kos_ebpmf_wbg_initLF50_K100_maxiter1000.Rds
    Deleted:    output/uci_BoW/v0.4.2/kos_ebpmf_wbg_initLF50_K100_maxiter1500.Rds
    Deleted:    output/uci_BoW/v0.4.2/kos_ebpmf_wbg_initLF50_K100_maxiter2000.Rds
    Deleted:    output/uci_BoW/v0.4.2/kos_ebpmf_wbg_initLF50_K100_maxiter2500.Rds
    Deleted:    output/uci_BoW/v0.4.2/kos_ebpmf_wbg_initLF50_K100_maxiter500.Rds
    Deleted:    output/uci_BoW/v0.4.2/kos_ebpmf_wbg_initLF50_K20_maxiter10.Rds
    Deleted:    output/uci_BoW/v0.4.2/kos_ebpmf_wbg_initLF50_K20_maxiter1000.Rds
    Deleted:    output/uci_BoW/v0.4.2/kos_ebpmf_wbg_initLF50_K20_maxiter1500.Rds
    Deleted:    output/uci_BoW/v0.4.2/kos_ebpmf_wbg_initLF50_K20_maxiter2000.Rds
    Deleted:    output/uci_BoW/v0.4.2/kos_ebpmf_wbg_initLF50_K20_maxiter2500.Rds
    Deleted:    output/uci_BoW/v0.4.2/kos_ebpmf_wbg_initLF50_K20_maxiter3000.Rds
    Deleted:    output/uci_BoW/v0.4.2/kos_ebpmf_wbg_initLF50_K20_maxiter3500.Rds
    Deleted:    output/uci_BoW/v0.4.2/kos_ebpmf_wbg_initLF50_K20_maxiter4000.Rds
    Deleted:    output/uci_BoW/v0.4.2/kos_ebpmf_wbg_initLF50_K20_maxiter4500.Rds
    Deleted:    output/uci_BoW/v0.4.2/kos_ebpmf_wbg_initLF50_K20_maxiter500.Rds
    Deleted:    output/uci_BoW/v0.4.2/kos_ebpmf_wbg_initLF50_K20_maxiter5000.Rds
    Deleted:    output/uci_BoW/v0.4.2/kos_ebpmf_wbg_initLF50_K3_maxiter10.Rds
    Deleted:    output/uci_BoW/v0.4.2/kos_ebpmf_wbg_initLF50_K50_maxiter1000.Rds
    Deleted:    output/uci_BoW/v0.4.2/kos_ebpmf_wbg_initLF50_K50_maxiter1500.Rds
    Deleted:    output/uci_BoW/v0.4.2/kos_ebpmf_wbg_initLF50_K50_maxiter2000.Rds
    Deleted:    output/uci_BoW/v0.4.2/kos_ebpmf_wbg_initLF50_K50_maxiter2500.Rds
    Deleted:    output/uci_BoW/v0.4.2/kos_ebpmf_wbg_initLF50_K50_maxiter3000.Rds
    Deleted:    output/uci_BoW/v0.4.2/kos_ebpmf_wbg_initLF50_K50_maxiter3500.Rds
    Deleted:    output/uci_BoW/v0.4.2/kos_ebpmf_wbg_initLF50_K50_maxiter4000.Rds
    Deleted:    output/uci_BoW/v0.4.2/kos_ebpmf_wbg_initLF50_K50_maxiter4500.Rds
    Deleted:    output/uci_BoW/v0.4.2/kos_ebpmf_wbg_initLF50_K50_maxiter500.Rds
    Deleted:    output/uci_BoW/v0.4.2/kos_ebpmf_wbg_initLF50_K50_maxiter5000.Rds
    Deleted:    output/uci_BoW/v0.4.2/kos_init_nmf_K100_iter50.Rds
    Deleted:    output/uci_BoW/v0.4.2/kos_init_nmf_K20_iter50.Rds
    Deleted:    output/uci_BoW/v0.4.2/kos_init_nmf_K300_iter50.Rds
    Deleted:    output/uci_BoW/v0.4.2/kos_init_nmf_K3_iter50.Rds
    Deleted:    output/uci_BoW/v0.4.2/kos_init_nmf_K500_iter50.Rds
    Deleted:    output/uci_BoW/v0.4.2/kos_init_nmf_K50_iter50.Rds
    Deleted:    output/uci_BoW/v0.4.4/fit_kos_np_ebpmf_wbg_initLF_K100_maxiter_5000.Rout
    Deleted:    output/uci_BoW/v0.4.4/fit_kos_np_ebpmf_wbg_initLF_K20_maxiter_5000.Rout
    Deleted:    output/uci_BoW/v0.4.4/fit_kos_np_ebpmf_wbg_initLF_K50_maxiter_5000.Rout
    Deleted:    output/uci_BoW/v0.4.4/kos_np_ebpmf_wbg_initLF50_K100_maxiter500.Rds
    Deleted:    output/uci_BoW/v0.4.4/kos_np_ebpmf_wbg_initLF50_K20_maxiter500.Rds
    Deleted:    output/uci_BoW/v0.4.4/kos_np_ebpmf_wbg_initLF50_K50_maxiter500.Rds
    Modified:   topicView-app/app.R

Note that any generated files, e.g. HTML, png, CSS, etc., are not included in this status report because it is ok for generated content to have uncommitted changes.


These are the previous versions of the repository in which changes were made to the R Markdown (analysis/cone_nmf_l2.Rmd) and HTML (docs/cone_nmf_l2.html) files. If you’ve configured a remote Git repository (see ?wflow_git_remote), click on the hyperlinks in the table below to view the files as they were in that past version.

File Version Author Date Message
Rmd 9085d85 zihao12 2021-06-10 update cone nmf l2
html 14af863 zihao12 2021-06-09 Build site.
Rmd 03dc2ff zihao12 2021-06-09 cone nmf l2
html eadae76 zihao12 2021-06-09 Build site.
Rmd b531a09 zihao12 2021-06-09 cone nmf l2

Introduction

  • I implemented the NMF with L2 loss, with the cone assumption discussed here
  • The derivation is here. I derived it from the HALS idea. Note it only uses information of \(X^T X\)
  • I use simulated data as in here. Note the setting is for multinomial/poisson data. But I still fit with NMF-L2 and convert to multinomial model for comparison. So comparing with the truth does not make much sense.
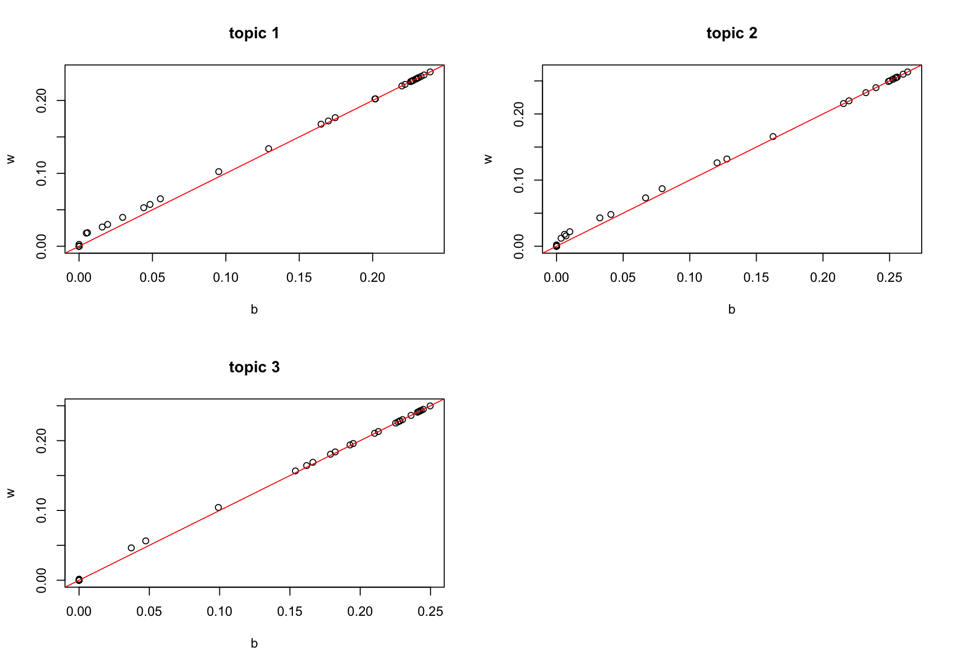
  • It’s interesting that the fitted \(B,W^T\) are bascially the same! Thus we might make assumption that \(B = W^T\) and make more efficient algorithm. s
  • The algorithm of cone NMF converges on this simulated data.
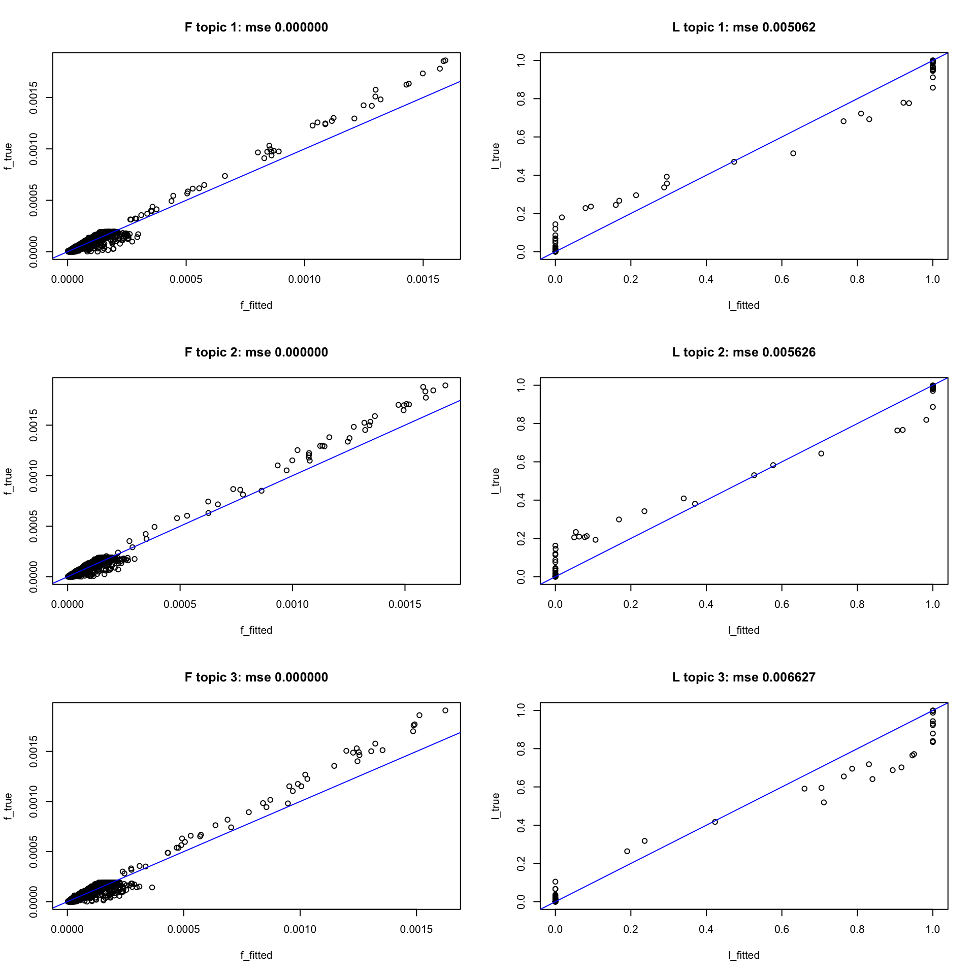
  • The estimates are slightly worse than regular NMF in terms of objective function. Compared to truth and regular NMF fit, we can see a similar “soft-thresholding”-like behavior on loadings. It’s a bit too strong for the truth. (But note that regular NMF actually needs a bit of softthresholding on loadings).
  • The code can be optimized: it’s slower than nnmf; the initialization is very naive
rm(list = ls())
source("code/smallsim2_functions.R")
source("code/misc.R")
source("code/util.R")

Implementaion of cone NMF

## dim(X) = (p, n)
## init is list(B = B, W = W, R = R)
## K is the number of factors; can be null when init is provided
cone_nmf_l2 <- function(X, K, init = NULL, maxiter = 50, seed = 123){
  set.seed(seed)
  if(is.null(init)){ init <- init_cone_nmf_l2(X, K) }
  M = t(X) %*% X
  fit = cone_nmf_l2_util(M = M, B = init$B, W = init$W, R = init$R, maxiter = maxiter)
  fit[["A"]] = X %*% fit$B
  return(fit)
}


## dim(M) = (n, n); M = t(X) %*% X
## dim(B) = (n, K)
## dim(W) = (K, n); need each row has L2 norm 1
cone_nmf_l2_util <- function(M, B, W, R, maxiter = 50){
  K = ncol(B)
  loss = rep(NaN, maxiter)
  for(i in 1:maxiter){
    #browser()
    for(k in 1:K){
      Rk = R + B[,k] %o% W[k,]
      B[,k] <- threshold(Rk %*% W[k,], 1e-12)
      W[k,] <- threshold(t(Rk) %*% (M %*% B[,k]), 1e-12)
      W[k,] <- W[k,]/(sqrt(sum(W[k,]^2)))
      R <- Rk - B[,k] %o% W[k,]
    }
    loss[i] <- compute_loss_l2(M, R)
  }
  return(list(B = B, W = W, loss = loss))
}

compute_loss_l2 <- function(M, R){
  loss = sum(diag(t(R) %*% M %*% R))
  return(loss)
}

init_cone_nmf_l2 <- function(X, K){
  p = nrow(X)
  n = ncol(X)
  B = matrix(runif(n*K), nrow = n)
  W = matrix(runif(n*K), nrow = K)
  W <- W / sqrt(rowSums(W^2))
  R = diag(replicate(n, 1)) - B %*% W
  return(list(B = B, W = W, R = R))
}

threshold <- function(x, eps){
  x[x < eps] <- eps
  return(x)
}

simulation & fitting

  • I use the same simulation setting as in here. (except I increase the number of features 10 fold). Can see the loss decreases after each iteration and converges rather quickly.
  • The fits on both small and large data are reasonably well. They are slightly worse in MSE compared to regular NMF.
  • Note the “soft-thresholding”-like effect on \(L\) compared to regular NMF!
n <- 300
m <- 10000
k <- 3
n_sample = 60
doc_len = m ## average number of words in each document

S <- 15*diag(k) - 2
F <- simulate_factors(m = m, k = k)
L <- simulate_loadings(n,k,S)
s <- simulate_sizes(n = n, doc_len = doc_len)
X <- simulate_multinom_counts(L,F,s)

Fit with cone NMF and regular NMF below.

## fit with cone NMF
fit_small = cone_nmf_l2(X = t(X[1:n_sample, ]), K = k, maxiter = 50)
fit_big = cone_nmf_l2(X = t(X), K = k, maxiter = 50)
## Fit with regular NMF
fit_small2 <- NNLM::nnmf(A = X[1:n_sample, ], k = k, loss = "mse", method = "scd", trace = 1)
fit_big2 <- NNLM::nnmf(A = X, k = k, loss = "mse", method = "scd", trace = 1)

Compare progress

The red line is the minimum loss attained by regular NMF.

## compare progress
par(mfrow = c(2,2))
loss_ = fit_small$loss/(n_sample*m*2)
plot(loss_, ylim = c(min(fit_small2$target.loss), max(loss_)),
     ylab = "mse (cone NMF)", main = "cone NMF on small data")
abline(h = min(fit_small2$target.loss), col = "red")
plot(fit_small2$target.loss, ylab = "mse (NMF)", main = "NMF on small data")
## MSE on cone NMF vs NMF
print(c(min(loss_), min(fit_small2$target.loss)))
[1] 0.4850875 0.4764580
loss_ = fit_big$loss/(n*m*2)
plot(loss_, ylim = c(min(fit_big2$target.loss),max(loss_)),
     ylab = "mse (cone NMF)", main = "cone NMF on big data")
abline(h = min(fit_big2$target.loss), col = "red")
plot(fit_big2$target.loss, ylab = "mse (NMF)", main = "NMF on big data")

Version Author Date
14af863 zihao12 2021-06-09
eadae76 zihao12 2021-06-09
## MSE on cone NMF vs NMF
print(c(min(loss_), min(fit_big2$target.loss)))
[1] 0.5033803 0.4950356
## transform to multinomial model
fit_small.m = get_multinom_from_pnmf(F = fit_small$A, L = t(fit_small$W))
fit_big.m = get_multinom_from_pnmf(F = fit_big$A, L = t(fit_big$W))
fit_small2.m = get_multinom_from_pnmf(F = t(fit_small2$H), L = fit_small2$W)
fit_big2.m = get_multinom_from_pnmf(F = t(fit_big2$H), L = fit_big2$W)

Cone NMF fit on small data VS truth

model = fit_small.m
idx = match_topics(F1 = F, F2 = model$F)
par(mfrow = c(3,2))
compare_truth_fitted(model, idx, L, F)

Version Author Date
14af863 zihao12 2021-06-09
eadae76 zihao12 2021-06-09

Cone NMF fit on small data VS truth

model = fit_small.m
idx = match_topics(F1 = F, F2 = model$F)
par(mfrow = c(3,2))
compare_truth_fitted(model, idx, L, F)

Version Author Date
14af863 zihao12 2021-06-09
eadae76 zihao12 2021-06-09

Regular NMF fit on small data VS truth

model = fit_small2.m
idx = match_topics(F1 = F, F2 = model$F)
par(mfrow = c(3,2))
compare_truth_fitted(model, idx, L, F)

Version Author Date
eadae76 zihao12 2021-06-09

Cone NMF fit on big data VS truth

model = fit_big.m
idx = match_topics(F1 = F, F2 = model$F)
par(mfrow = c(3,2))
compare_truth_fitted(model, idx, L, F)

Version Author Date
14af863 zihao12 2021-06-09
eadae76 zihao12 2021-06-09

Regular NMF fit on big data VS truth

model = fit_big2.m
idx = match_topics(F1 = F, F2 = model$F)
par(mfrow = c(3,2))
compare_truth_fitted(model, idx, L, F)

Version Author Date
eadae76 zihao12 2021-06-09

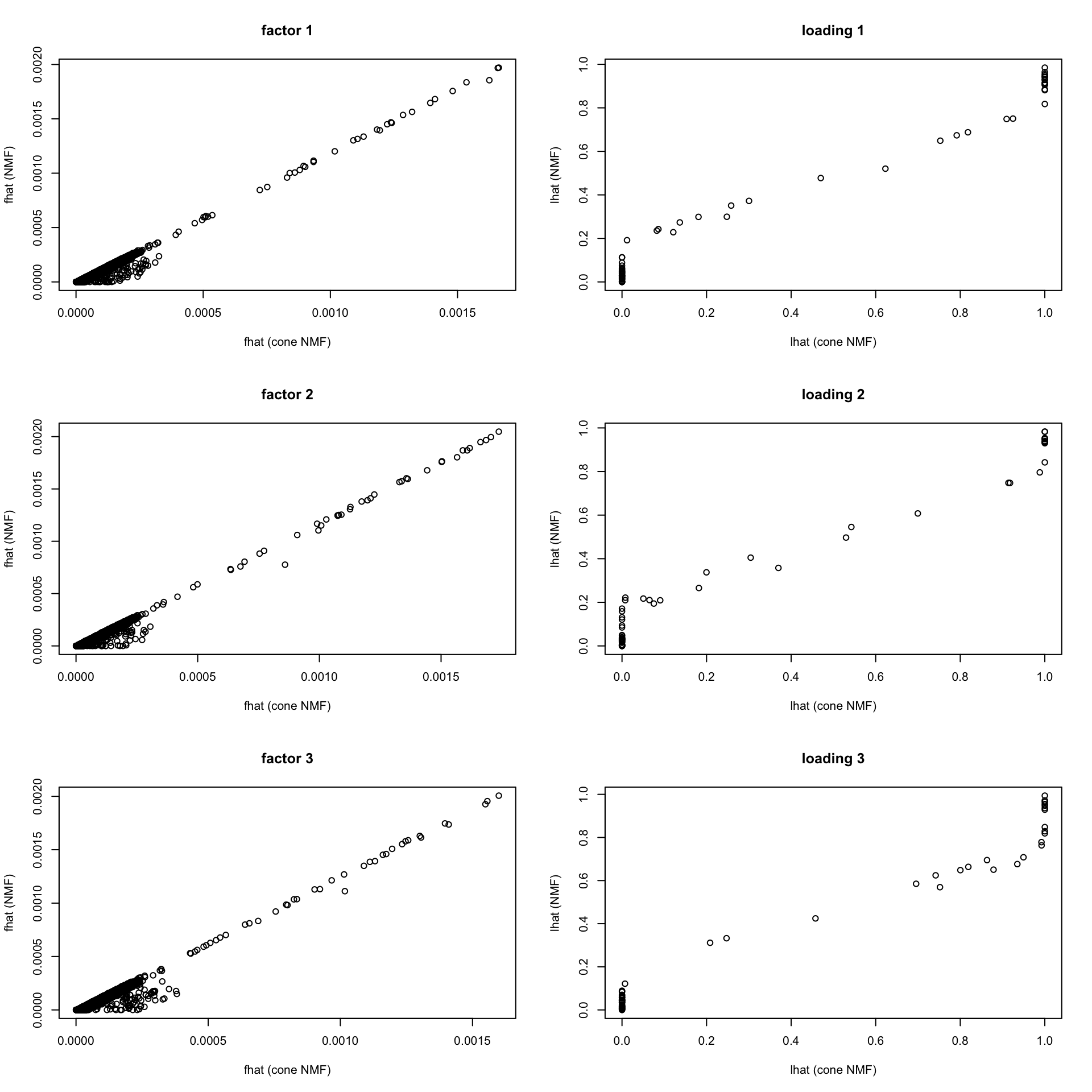
Cone NMF vs Regular NMF on small data

model1 = fit_small.m
model2 = fit_small2.m
idx1 = match_topics(F1 = F, F2 = model1$F)
idx2 = match_topics(F1 = F, F2 = model2$F)

par(mfrow = c(3,2))
for(i in 1:k){
  plot(model1$F[,idx1[i]], model2$F[,idx2[i]], 
       xlab = "fhat (cone NMF)", ylab = "fhat (NMF)", main = sprintf("factor %d", i))
  plot(model1$L[,idx1[i]], model2$L[,idx2[i]],
       xlab = "lhat (cone NMF)", ylab = "lhat (NMF)", main = sprintf("loading %d", i))
}

Version Author Date
14af863 zihao12 2021-06-09
eadae76 zihao12 2021-06-09

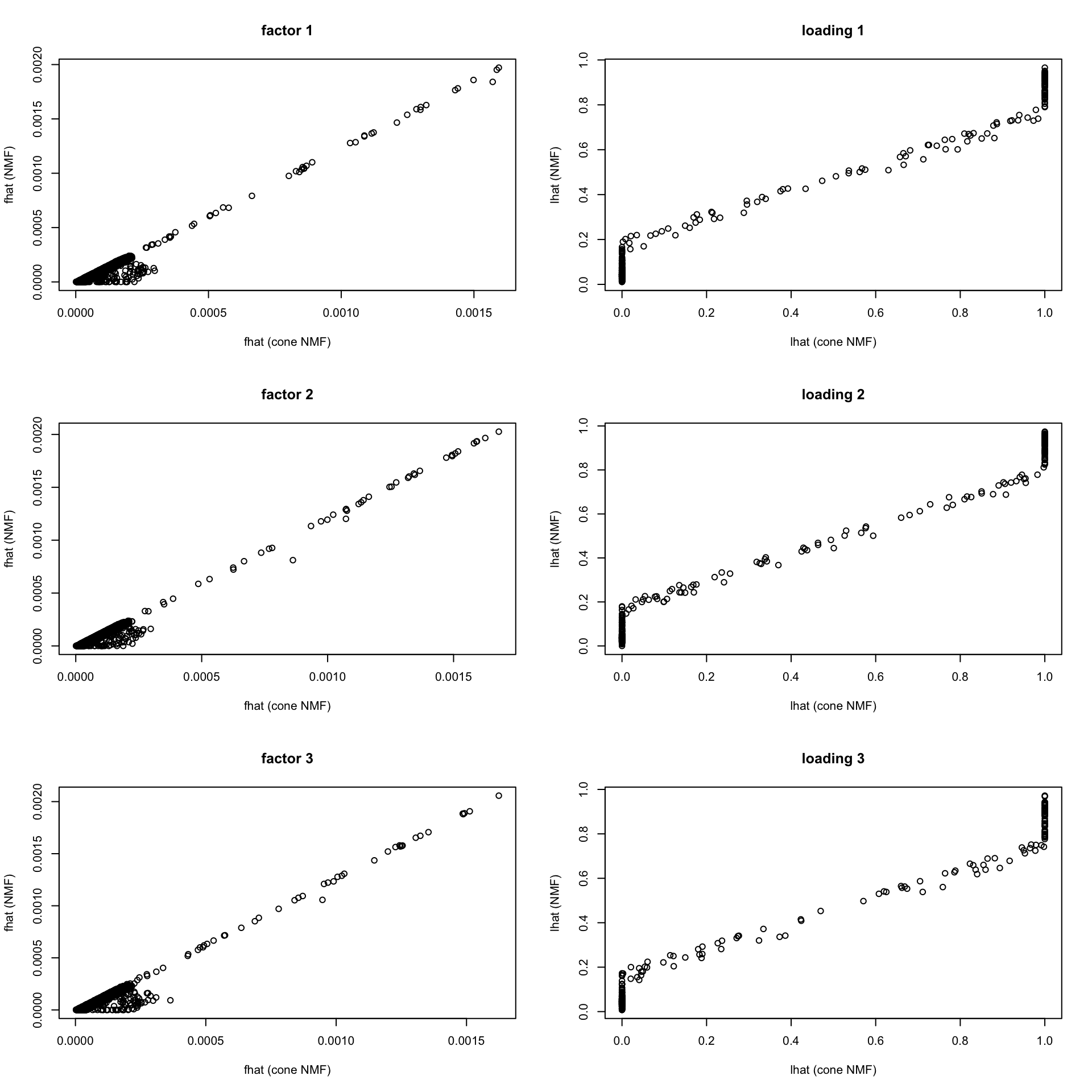
Cone NMF vs Regular NMF on big data

model1 = fit_big.m
model2 = fit_big2.m
idx1 = match_topics(F1 = F, F2 = model1$F)
idx2 = match_topics(F1 = F, F2 = model2$F)

par(mfrow = c(3,2))
for(i in 1:k){
  plot(model1$F[,idx1[i]], model2$F[,idx2[i]], 
       xlab = "fhat (cone NMF)", ylab = "fhat (NMF)", main = sprintf("factor %d", i))
  plot(model1$L[,idx1[i]], model2$L[,idx2[i]],
       xlab = "lhat (cone NMF)", ylab = "lhat (NMF)", main = sprintf("loading %d", i))
}

Version Author Date
14af863 zihao12 2021-06-09
eadae76 zihao12 2021-06-09

Relationship between B & W

In small data

par(mfrow = c(2,2))
model = fit_small
for(i in 1:k){
  plot(model$B[,i], model$W[i,], xlab = "b",ylab = "w",main = sprintf("topic %d", i))  
  abline(a = 0, b = 1, col= "red")
}

## max difference between B & W
max(abs(model$B- t(model$W)))
[1] 0.01307541

In big data

par(mfrow = c(2,2))
model = fit_big
for(i in 1:k){
  plot(model$B[,i], model$W[i,], xlab = "b",ylab = "w",main = sprintf("topic %d", i))  
  abline(a = 0, b = 1, col= "red")
}

## max difference between B & W
max(abs(model$B- t(model$W)))
[1] 0.005823909


sessionInfo()
R version 3.5.1 (2018-07-02)
Platform: x86_64-apple-darwin15.6.0 (64-bit)
Running under: macOS  10.15.7

Matrix products: default
BLAS: /Library/Frameworks/R.framework/Versions/3.5/Resources/lib/libRblas.0.dylib
LAPACK: /Library/Frameworks/R.framework/Versions/3.5/Resources/lib/libRlapack.dylib

locale:
[1] en_US.UTF-8/en_US.UTF-8/en_US.UTF-8/C/en_US.UTF-8/en_US.UTF-8

attached base packages:
[1] stats     graphics  grDevices utils     datasets  methods   base     

other attached packages:
[1] pheatmap_1.0.12 mvtnorm_1.1-0   workflowr_1.6.2

loaded via a namespace (and not attached):
 [1] Rcpp_1.0.5         knitr_1.28         whisker_0.3-2      magrittr_1.5      
 [5] munsell_0.5.0      colorspace_1.4-1   R6_2.4.1           rlang_0.4.5       
 [9] stringr_1.4.0      tools_3.5.1        grid_3.5.1         gtable_0.3.0      
[13] xfun_0.8           git2r_0.26.1       htmltools_0.5.0    yaml_2.2.0        
[17] digest_0.6.25      rprojroot_1.3-2    lifecycle_0.2.0    RColorBrewer_1.1-2
[21] later_1.1.0.1      promises_1.1.1     fs_1.3.1           NNLM_0.4.2        
[25] glue_1.4.1         evaluate_0.14      rmarkdown_2.1      stringi_1.6.2     
[29] compiler_3.5.1     scales_1.1.1       backports_1.1.7    httpuv_1.5.4